Официальное опубликование правовых актов
ОФИЦИАЛЬНОЕ ОПУБЛИКОВАНИЕ
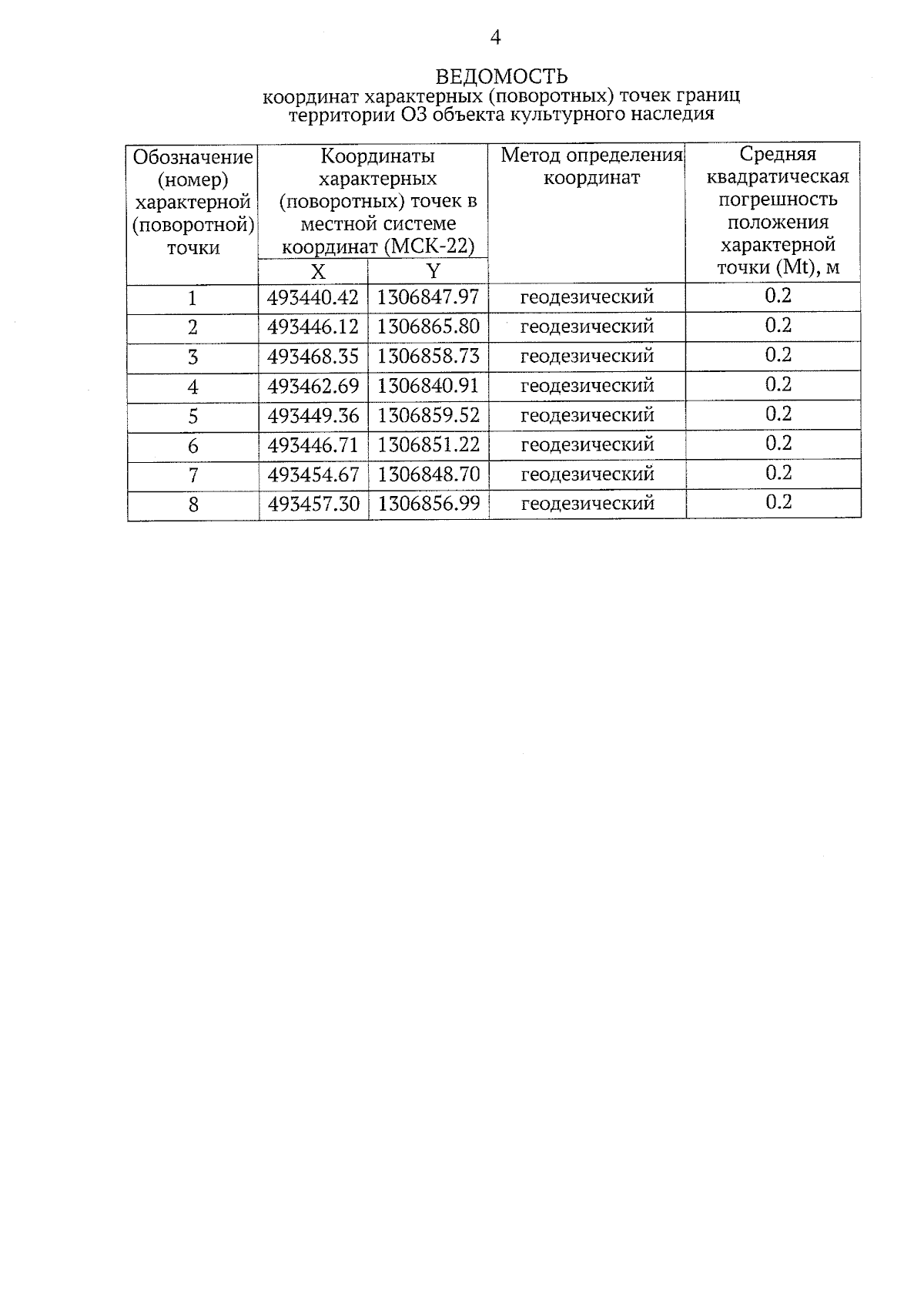
Приказ Управления государственной охраны объектов культурного наследия Алтайского края от 21.08.2024 № 390
"Об установлении зоны охраны объекта культурного наследия регионального значения "Памятник воинам, погибшим в годы Великой Отечественной войны (1941 – 1945 гг.)", 1966 г., расположенного по адресу: Алтайский край, Ключевский район, с. Слава, ул. Центральная, 1б, утверждении режима использования земель и требований к градостроительным регламентам в границах территории данной зоны"
(Зарегистрирован 22.08.2024 № 852)
Номер опубликования: 2201202408220005
Дата опубликования: 22.08.2024
Страница №4 из 7:
Увеличить