Официальное опубликование правовых актов
ОФИЦИАЛЬНОЕ ОПУБЛИКОВАНИЕ
Приказ Министерства социальной защиты Алтайского края от 04.07.2024 № 27/Пр/360
"О внесении изменения в приказ Министерства социальной защиты Алтайского края от 27.12.2023 № 27/Пр/396"
(Зарегистрирован 05.07.2024 № 710)
Номер опубликования: 2201202407050004
Дата опубликования: 05.07.2024
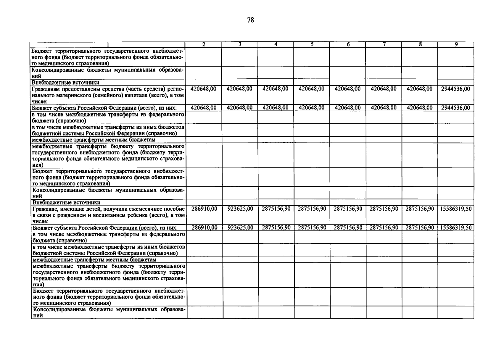
Страница №78 из 94:
Увеличить