Официальное опубликование правовых актов
ОФИЦИАЛЬНОЕ ОПУБЛИКОВАНИЕ
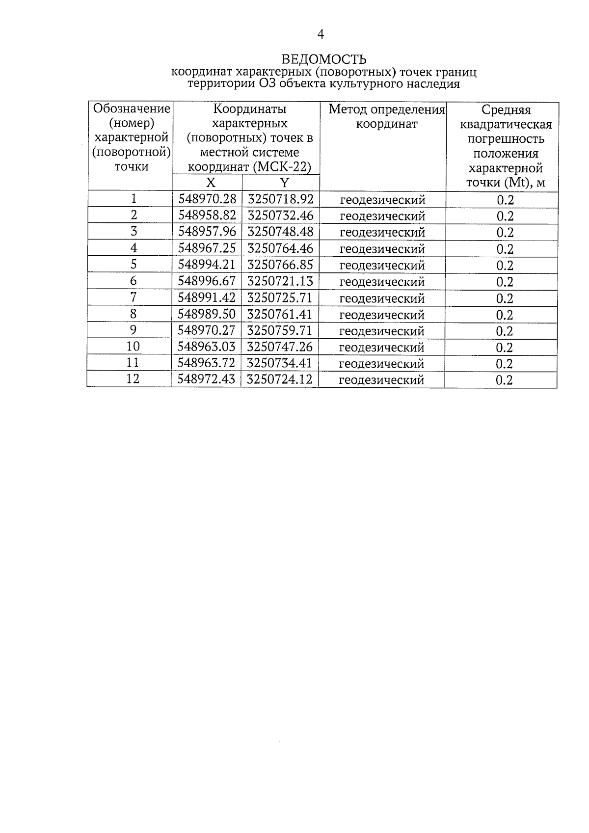
Приказ Управления государственной охраны объектов культурного наследия Алтайского края от 28.05.2024 № 324
"Об установлении зоны охраны объекта культурного наследия регионального значения "Памятник землякам, погибшим в годы Великой Отечественной войны (1941 – 1945 гг.)", 1968 г., расположенного по адресу: Алтайский край, Троицкий район, с. Зеленая Поляна, ул. Парковая, 10, утверждении режима использования земель и требований к градостроительным регламентам в границах территории данной зоны"
(Зарегистрирован 29.05.2024 № 548)
Номер опубликования: 2201202405300005
Дата опубликования: 30.05.2024
Страница №4 из 7:
Увеличить