Официальное опубликование правовых актов
ОФИЦИАЛЬНОЕ ОПУБЛИКОВАНИЕ
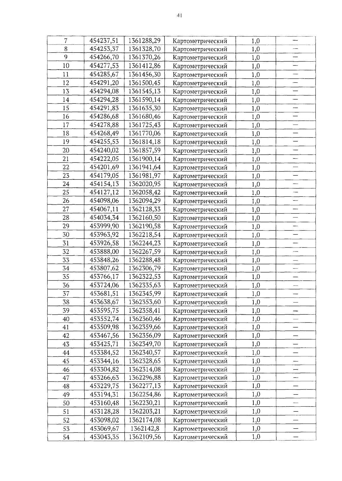
Приказ Министерства природных ресурсов и экологии Алтайского края от 21.05.2024 № 561
"Об установлении зон санитарной охраны подземных источников питьевого и хозяйственно-бытового водоснабжения ЗАО "Волчихинский пивоваренный завод" (село Волчиха, Волчихинский район, Алтайский край)"
(Зарегистрирован 22.05.2024 № 504)
Номер опубликования: 2201202405220007
Дата опубликования: 22.05.2024
Страница №41 из 49:
Увеличить