Официальное опубликование правовых актов
ОФИЦИАЛЬНОЕ ОПУБЛИКОВАНИЕ
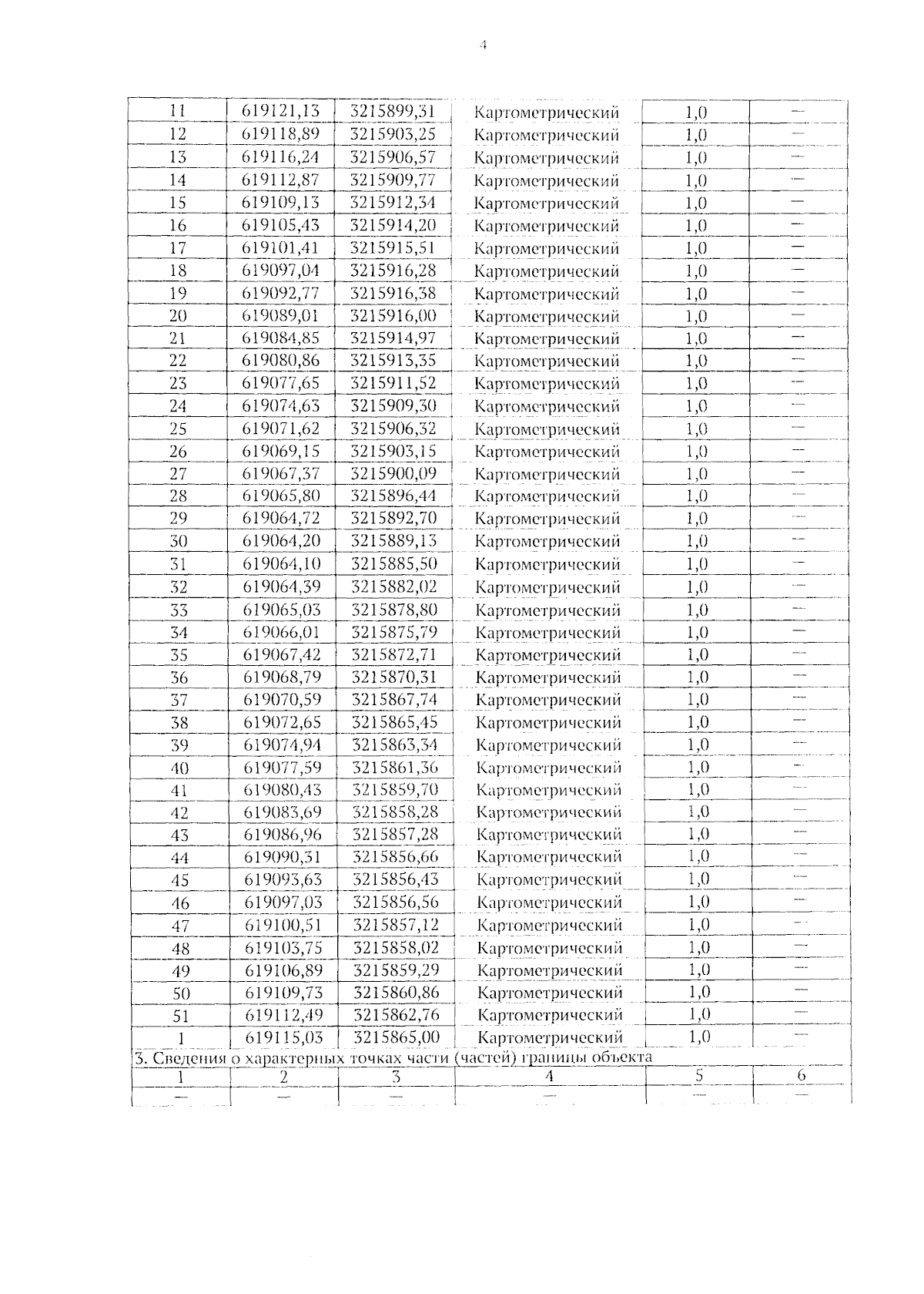
Приказ Министерства природных ресурсов и экологии Алтайского края от 27.04.2024 № 496
"Об установлении зон санитарной охраны подземного источника питьевого и хозяйственно-бытового водоснабжения ООО "Логовское" (село Логовское, Первомайский район, Алтайский край)"
(Зарегистрирован 27.04.2024 № 413)
Номер опубликования: 2201202404270003
Дата опубликования: 27.04.2024
Страница №4 из 14:
Увеличить