Официальное опубликование правовых актов
ОФИЦИАЛЬНОЕ ОПУБЛИКОВАНИЕ
Приказ Министерства экономического развития Алтайского края от 25.03.2024 № 5
"О внесении изменений в приказ Министерства экономического развития Алтайского края от 22.12.2023 № 19"
(Зарегистрирован 25.03.2024 № 238)
Номер опубликования: 2201202403250006
Дата опубликования: 25.03.2024
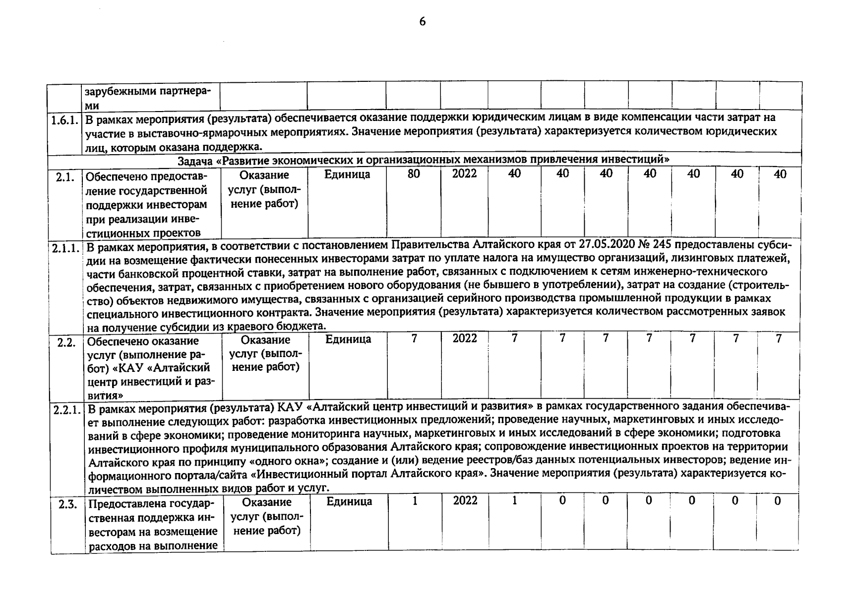
Страница №6 из 78:
Увеличить