Приказ Министерства природных ресурсов и экологии Алтайского края от 18.03.2024 № 255
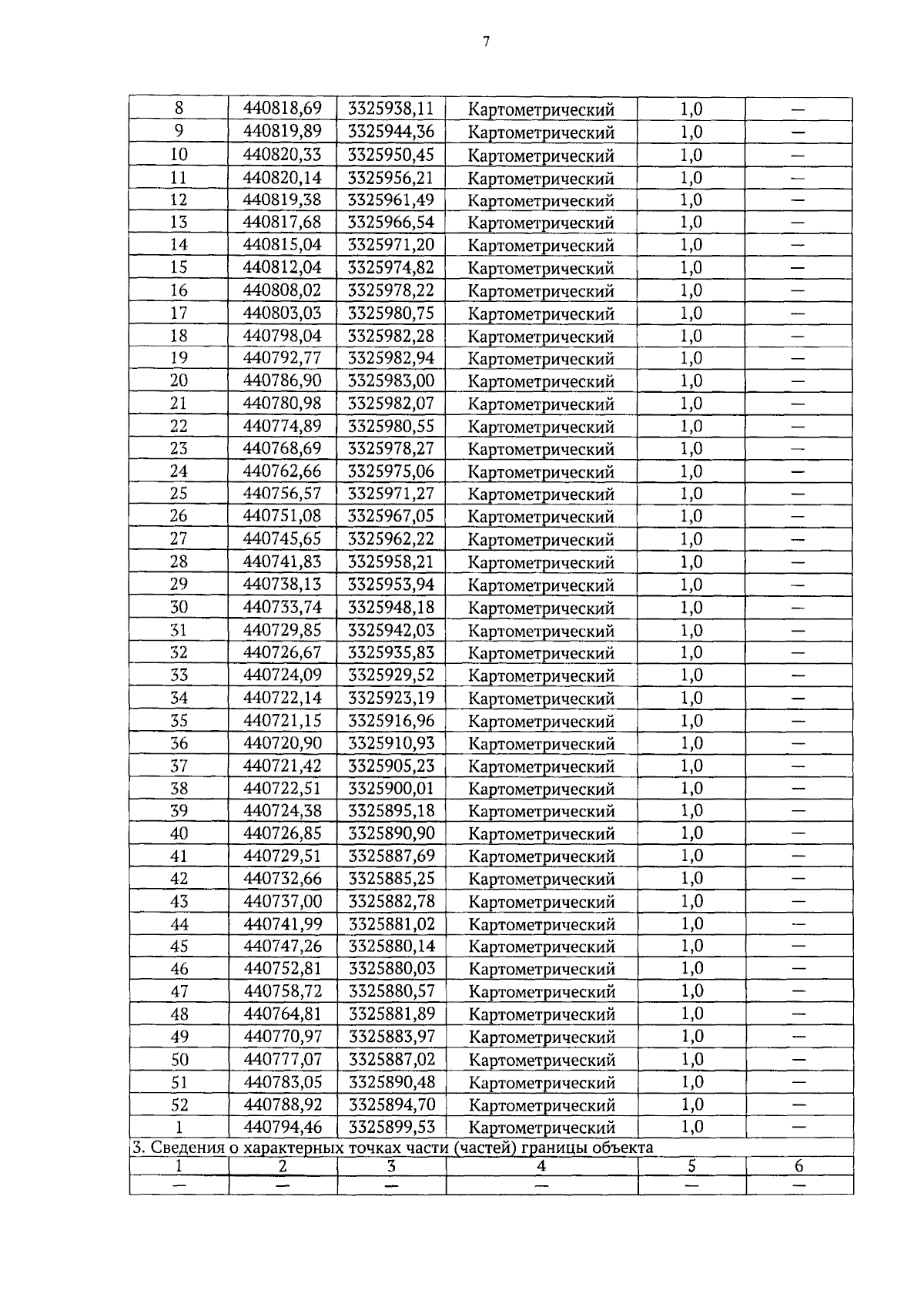
"Об установлении зон санитарной охраны подземного источника питьевого и хозяйственно-бытового водоснабжения спортивного комплекса "Фанат" (поселок Катунь, Алтайский район, Алтайский край)"
(Зарегистрирован 19.03.2024 № 204)
"Об установлении зон санитарной охраны подземного источника питьевого и хозяйственно-бытового водоснабжения спортивного комплекса "Фанат" (поселок Катунь, Алтайский район, Алтайский край)"
(Зарегистрирован 19.03.2024 № 204)
Номер опубликования: 2201202403190005
Дата опубликования:
19.03.2024
