Официальное опубликование правовых актов
ОФИЦИАЛЬНОЕ ОПУБЛИКОВАНИЕ
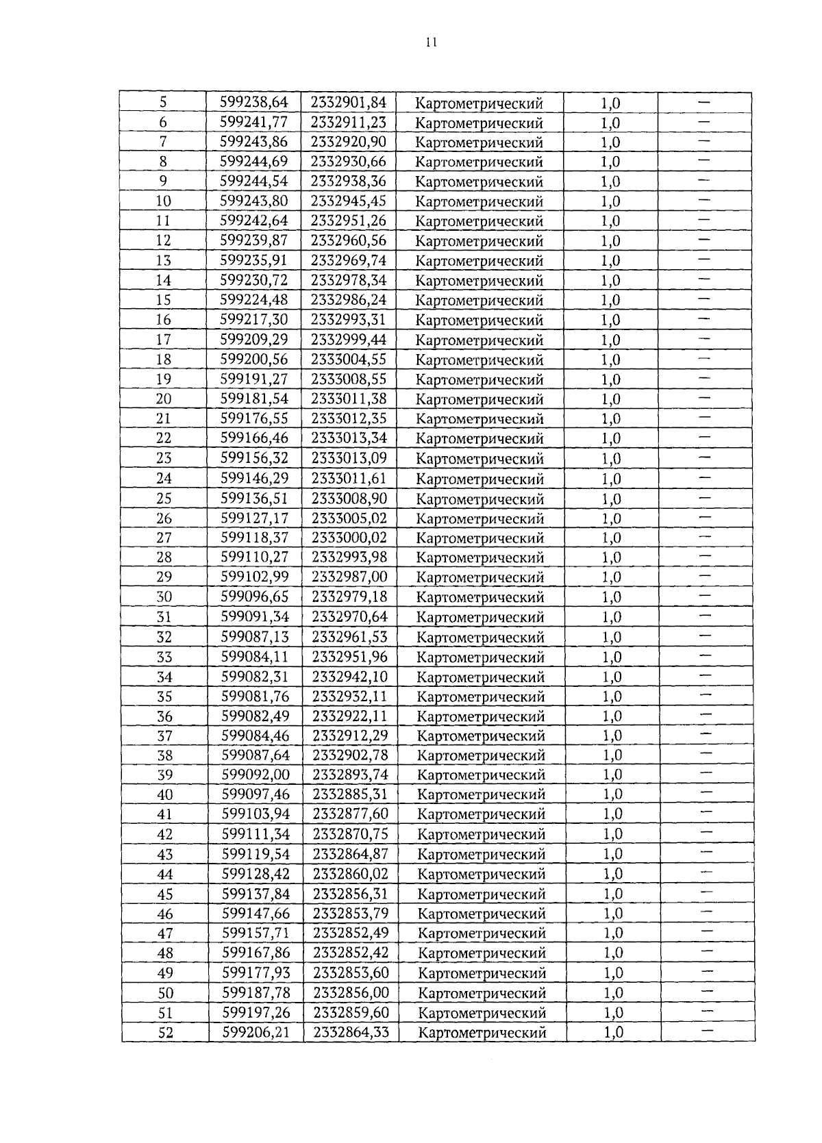
Приказ Министерства природных ресурсов и экологии Алтайского края от 29.02.2024 № 203
"Об установлении зон санитарной охраны подземных источников питьевого и хозяйственно-бытового водоснабжения ООО "АС-Агро" (Павловский район, село Павловск, Алтайский край)"
(Зарегистрирован 01.03.2024 № 133)
Номер опубликования: 2201202403010003
Дата опубликования: 01.03.2024
Страница №11 из 21:
Увеличить