Официальное опубликование правовых актов
ОФИЦИАЛЬНОЕ ОПУБЛИКОВАНИЕ
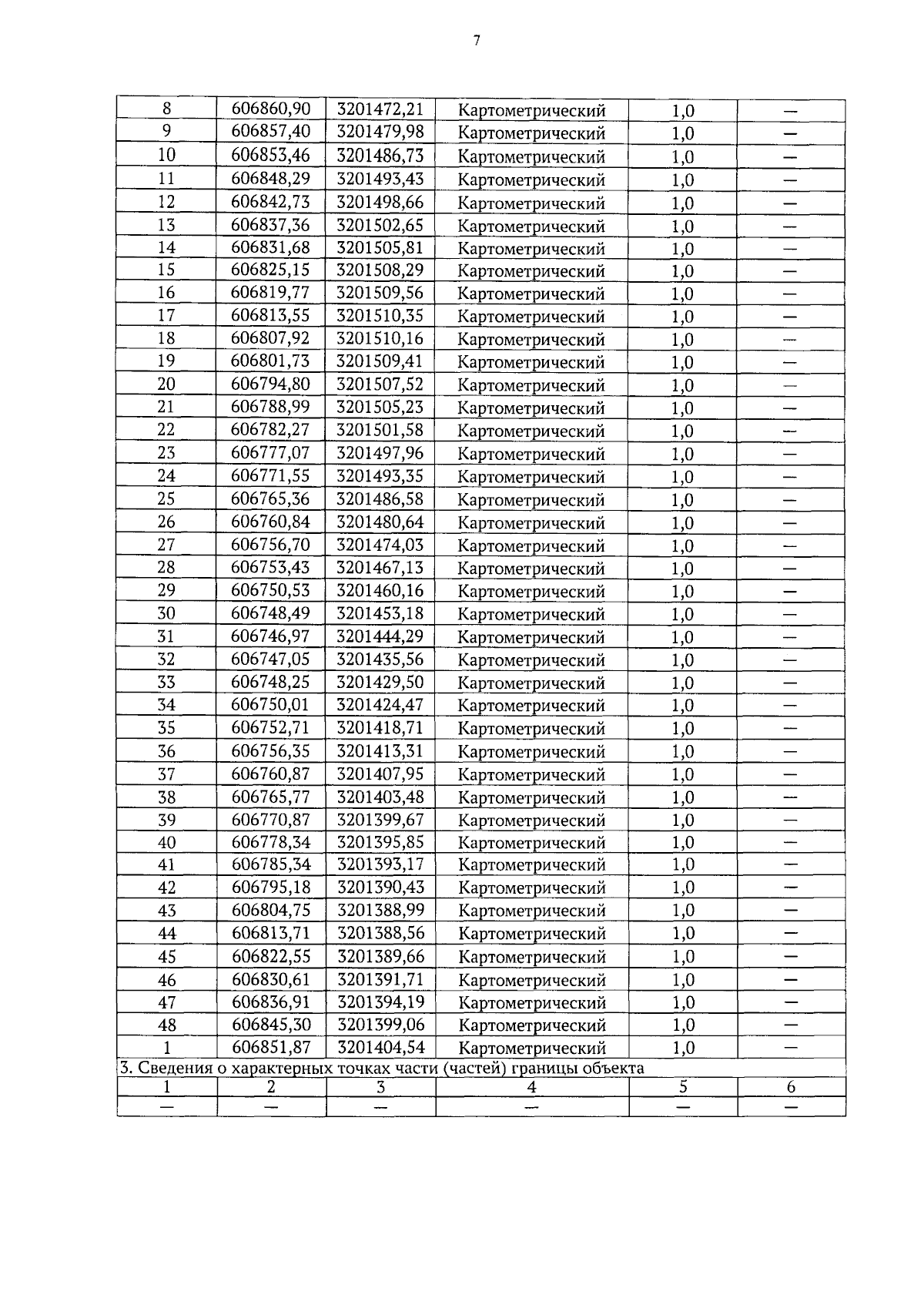
Приказ Министерства природных ресурсов и экологии Алтайского края от 01.02.2024 № 75
"Об установлении зон санитарной охраны подземного источника питьевого и хозяйственно-бытового водоснабжения ООО "Новоалтайский перерабатывающий завод" (город Новоалтайск, Алтайский край)"
(Зарегистрирован 01.02.2024 № 44)
Номер опубликования: 2201202402010004
Дата опубликования: 01.02.2024
Страница №7 из 13:
Увеличить