Официальное опубликование правовых актов
ОФИЦИАЛЬНОЕ ОПУБЛИКОВАНИЕ
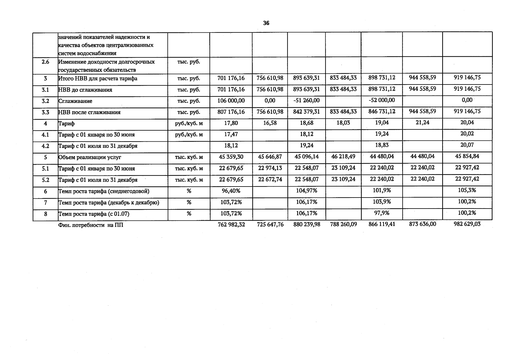
Приказ Министерства строительства и жилищно-коммунального хозяйства Алтайского края от 28.12.2023 № 916
"О внесении изменений в приказ Главного управления строительства, транспорта, жилищно-коммунального хозяйства Алтайского края от 27.11.2015 № 1197"
Номер опубликования: 2201202312290017
Дата опубликования: 29.12.2023
Страница №36 из 41:
Увеличить