Официальное опубликование правовых актов
ОФИЦИАЛЬНОЕ ОПУБЛИКОВАНИЕ
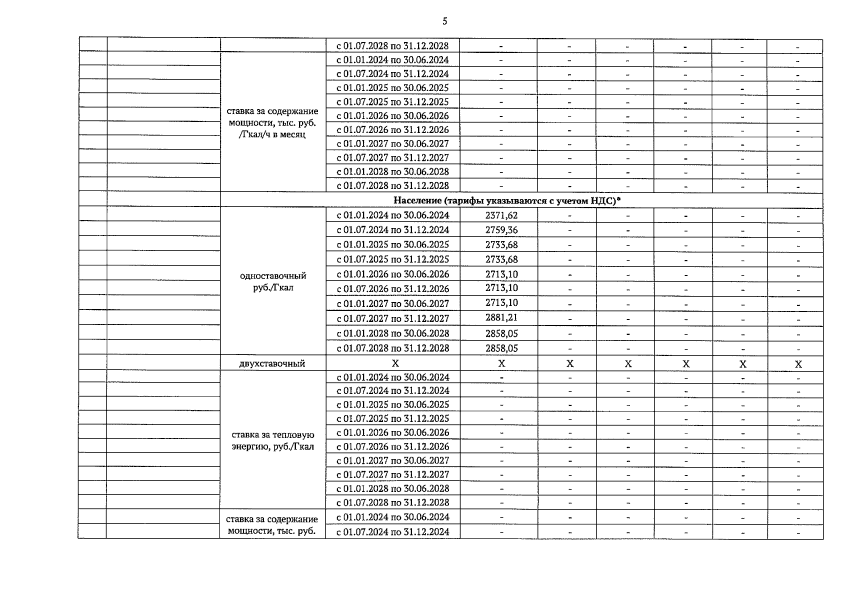
Решение Управления Алтайского края по государственному регулированию цен и тарифов от 20.12.2023 № 535
"Об установлении тарифов на тепловую энергию, поставляемую муниципальным унитарным многоотраслевым коммунальным предприятием потребителям закрытого административно-территориального образования Сибирский Алтайского края, на 2024–2028 годы"
(Зарегистрирован 22.12.2023 № 2340)
Номер опубликования: 2201202312260011
Дата опубликования: 26.12.2023
Страница №5 из 6:
Увеличить