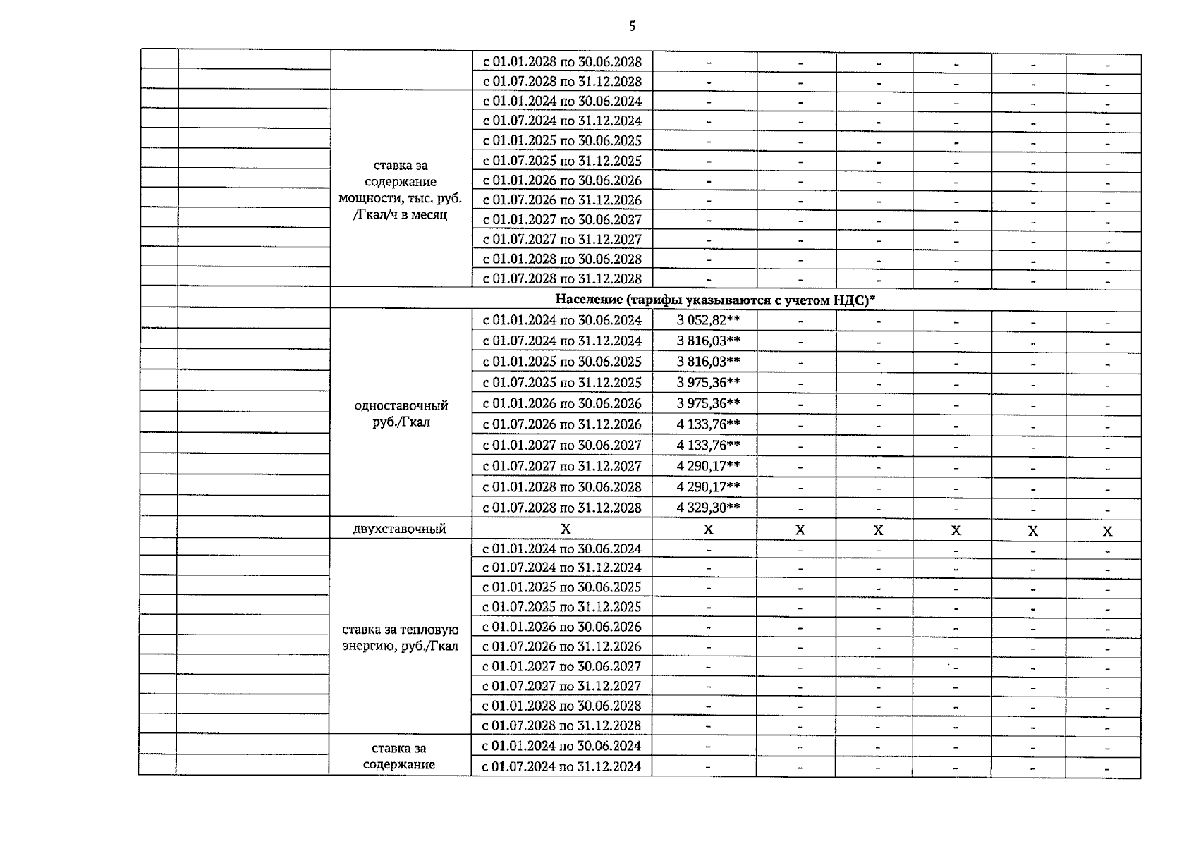
Решение Управления Алтайского края по государственному регулированию цен и тарифов от 20.12.2023 № 542
"Об установлении тарифов на тепловую энергию, поставляемую муниципальным унитарным предприятием "Стабильность" потребителям муниципального образования город Заринск Алтайского края, на 2024–2028 годы"
(Зарегистрирован 22.12.2023 № 2284)
"Об установлении тарифов на тепловую энергию, поставляемую муниципальным унитарным предприятием "Стабильность" потребителям муниципального образования город Заринск Алтайского края, на 2024–2028 годы"
(Зарегистрирован 22.12.2023 № 2284)
Номер опубликования: 2201202312220015
Дата опубликования:
22.12.2023
