Официальное опубликование правовых актов
ОФИЦИАЛЬНОЕ ОПУБЛИКОВАНИЕ
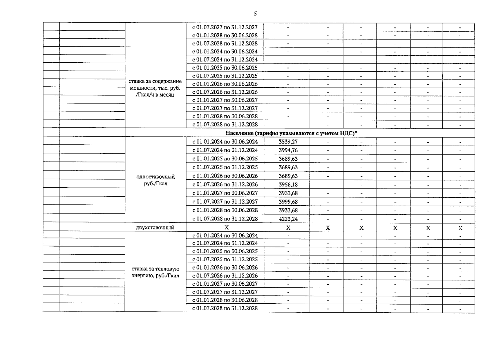
Решение Управления Алтайского края по государственному регулированию цен и тарифов от 20.12.2023 № 559
"Об установлении тарифов на тепловую энергию, поставляемую акционерным обществом "Теплоцентраль Белокуриха" потребителям муниципального образования город Белокуриха Алтайского края, на 2024–2028 годы"
(Зарегистрирован 22.12.2023 № 2307)
Номер опубликования: 2201202312220003
Дата опубликования: 22.12.2023
Страница №5 из 6:
Увеличить