Официальное опубликование правовых актов
ОФИЦИАЛЬНОЕ ОПУБЛИКОВАНИЕ
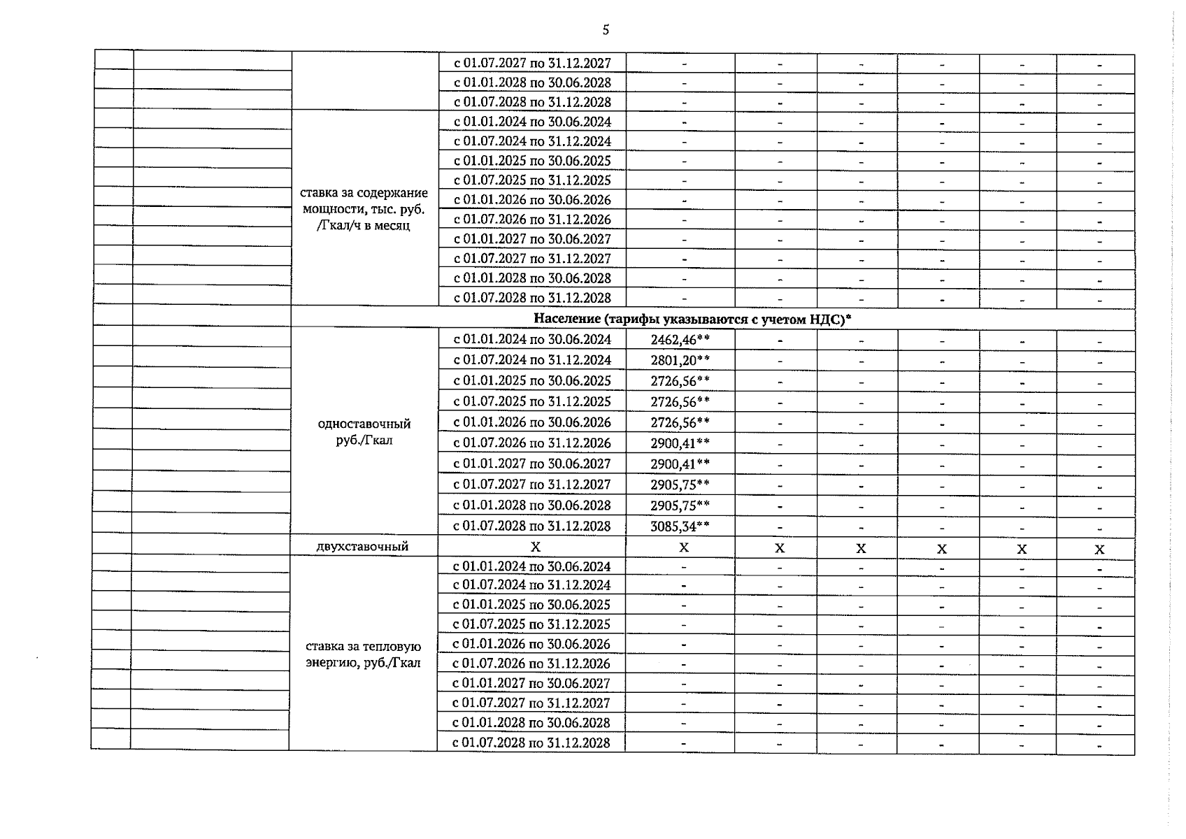
Решение Управления Алтайского края по государственному регулированию цен и тарифов от 18.12.2023 № 464
"Об установлении тарифов на тепловую энергию, поставляемую муниципальным унитарным предприятием "Тепло" Смоленского района Алтайского края потребителям Смоленского района Алтайского края, на 2024–2028 годы"
(Зарегистрирован 20.12.2023 № 2240)
Номер опубликования: 2201202312210033
Дата опубликования: 21.12.2023
Страница №5 из 6:
Увеличить