Решение Управления Алтайского края по государственному регулированию цен и тарифов от 14.12.2023 № 423
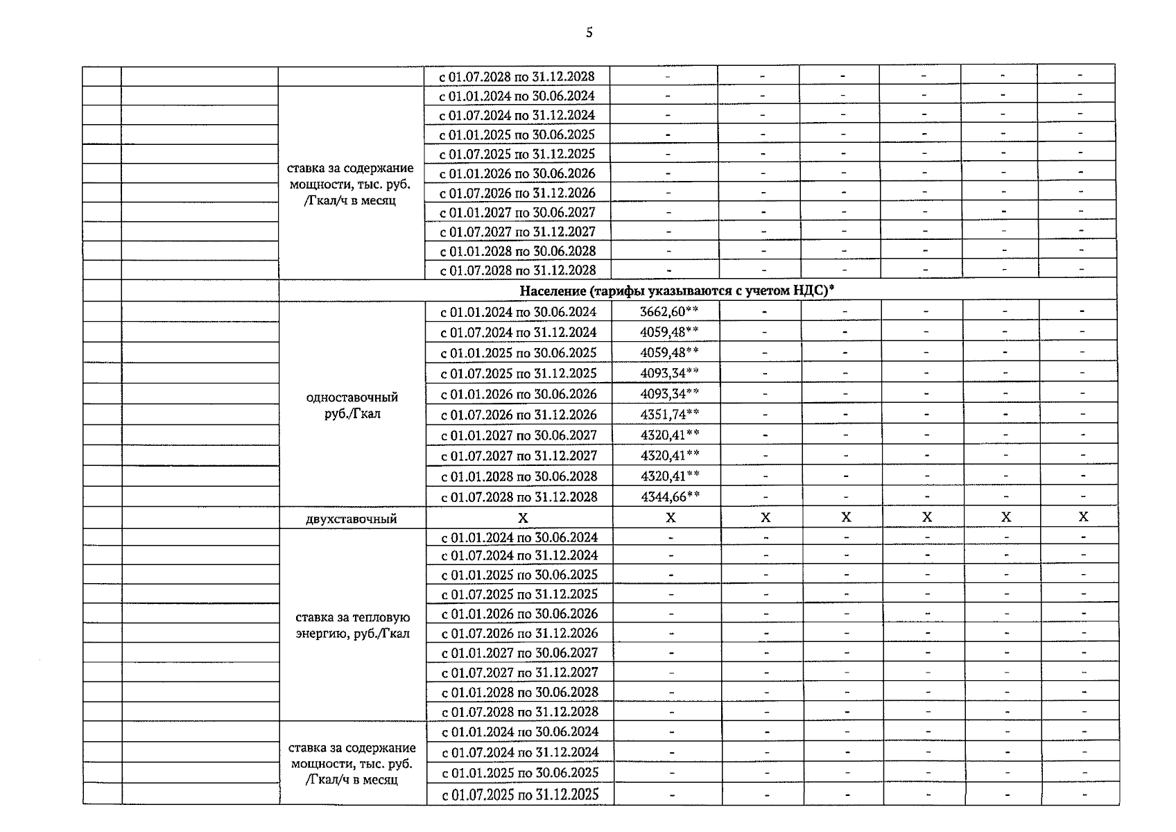
"Об установлении тарифов на тепловую энергию, поставляемую Муниципальным унитарным предприятием "Тепловодсервис" Усть-Пристанского района потребителям Усть-Пристанского района Алтайского края, на 2024–2028 годы"
(Зарегистрирован 19.12.2023 № 2220)
"Об установлении тарифов на тепловую энергию, поставляемую Муниципальным унитарным предприятием "Тепловодсервис" Усть-Пристанского района потребителям Усть-Пристанского района Алтайского края, на 2024–2028 годы"
(Зарегистрирован 19.12.2023 № 2220)
Номер опубликования: 2201202312200033
Дата опубликования:
20.12.2023
