Официальное опубликование правовых актов
ОФИЦИАЛЬНОЕ ОПУБЛИКОВАНИЕ
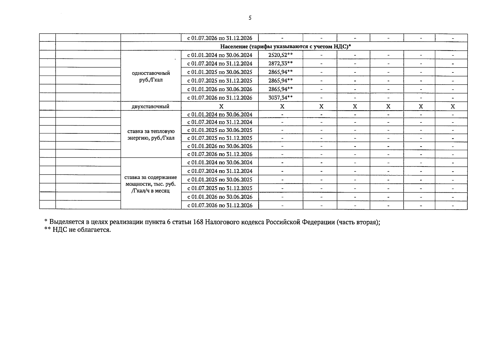
Решение Управления Алтайского края по государственному регулированию цен и тарифов от 18.12.2023 № 466
"Об установлении тарифов на тепловую энергию, поставляемую Муниципальным унитарным предприятием "Новозоринские коммунальные сети" потребителям Павловского района Алтайского края, на 2024–2026 годы"
(Зарегистрирован 19.12.2023 № 2231)
Номер опубликования: 2201202312200012
Дата опубликования: 20.12.2023
Страница №5 из 5:
Увеличить