Официальное опубликование правовых актов
ОФИЦИАЛЬНОЕ ОПУБЛИКОВАНИЕ
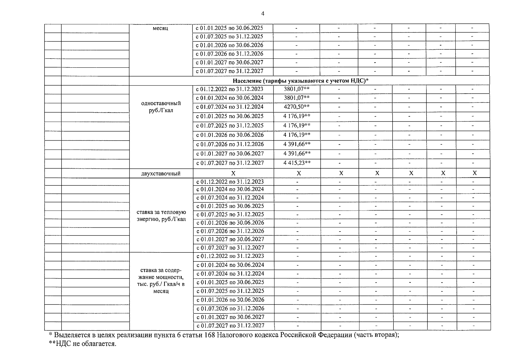
Решение Управления Алтайского края по государственному регулированию цен и тарифов от 14.12.2023 № 413
"Об установлении тарифов на тепловую энергию, поставляемую обществом с ограниченной ответственностью "Тепловая компания №2" потребителям муниципального образования город Горняк Локтевского района Алтайского края, на 2023-2027 годы"
(Зарегистрирован 18.12.2023 № 2169)
Номер опубликования: 2201202312190022
Дата опубликования: 19.12.2023
Страница №4 из 4:
Увеличить