Официальное опубликование правовых актов
ОФИЦИАЛЬНОЕ ОПУБЛИКОВАНИЕ
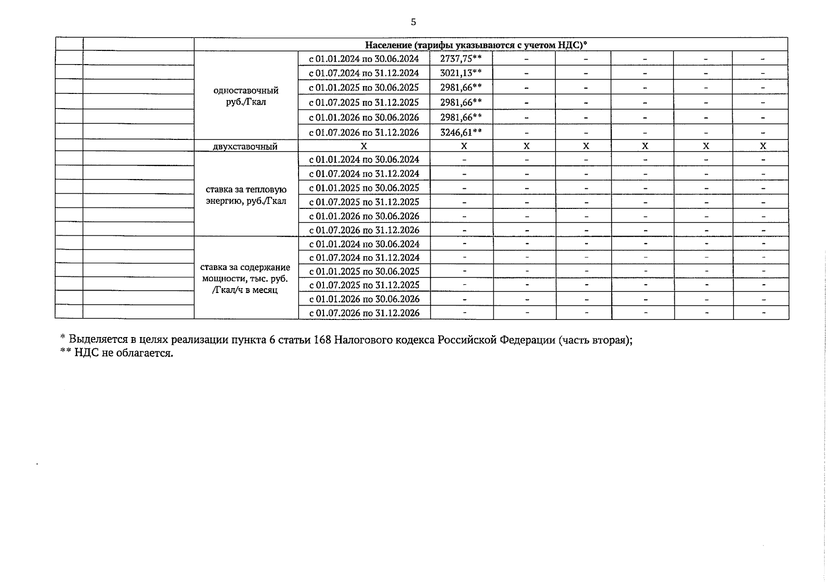
Решение Управления Алтайского края по государственному регулированию цен и тарифов от 14.12.2023 № 414
"Об установлении тарифов на тепловую энергию, поставляемую Муниципальным унитарным предприятием "Павловская теплоцентраль" Павловского района Алтайского края потребителям Павловского района Алтайского края, на 2024-2026 годы"
(Зарегистрирован 18.12.2023 № 2167)
Номер опубликования: 2201202312190020
Дата опубликования: 19.12.2023
Страница №5 из 5:
Увеличить