Официальное опубликование правовых актов
ОФИЦИАЛЬНОЕ ОПУБЛИКОВАНИЕ
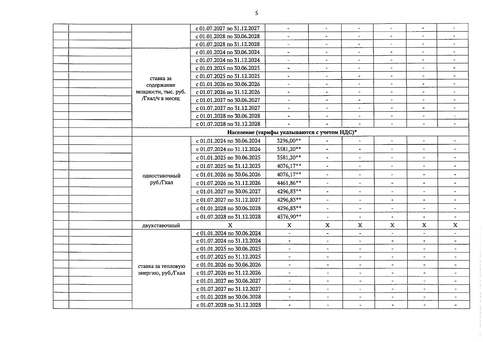
Решение Управления Алтайского края по государственному регулированию цен и тарифов от 14.12.2023 № 411
"Об установлении тарифов на тепловую энергию, поставляемую муниципальным унитарным предприятием "Яровской теплоэлектрокомплекс" потребителям муниципального образования город Яровое Алтайского края, на 2024–2028 годы"
(Зарегистрирован 18.12.2023 № 2166)
Номер опубликования: 2201202312190019
Дата опубликования: 19.12.2023
Страница №5 из 6:
Увеличить