Официальное опубликование правовых актов
ОФИЦИАЛЬНОЕ ОПУБЛИКОВАНИЕ
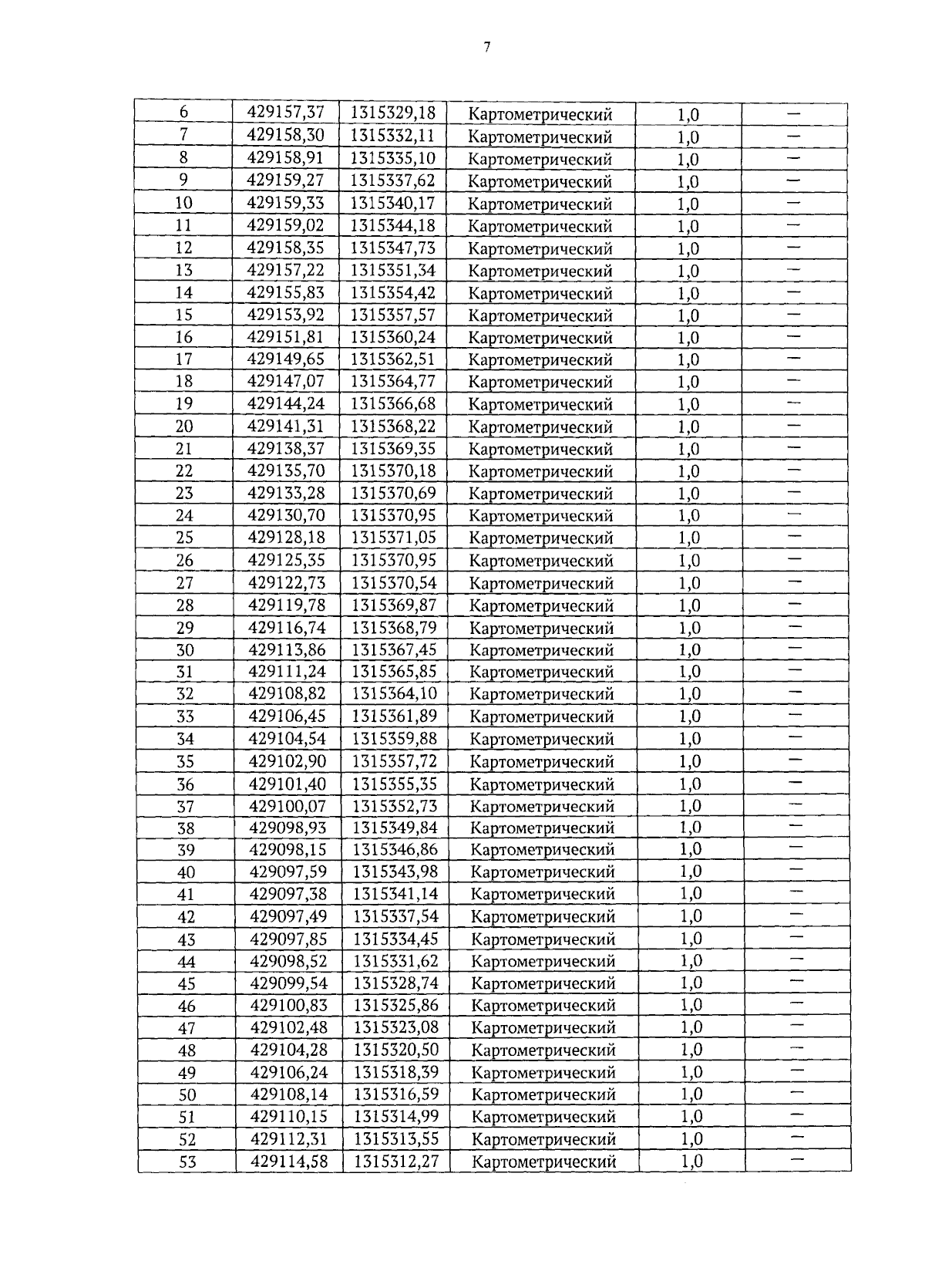
Приказ Министерства природных ресурсов и экологии Алтайского края от 07.12.2023 № 1527
"Об установлении зон санитарной охраны подземных источников питьевого и хозяйственно-бытового водоснабжения ООО КХ "Партнер" (село Михайловское, Михайловский район, Алтайский край)"
(Зарегистрирован 08.12.2023 № 2021)
Номер опубликования: 2201202312080001
Дата опубликования: 08.12.2023
Страница №7 из 13:
Увеличить