Официальное опубликование правовых актов
ОФИЦИАЛЬНОЕ ОПУБЛИКОВАНИЕ
Приказ Министерства промышленности и энергетики Алтайского края от 07.12.2023 № 25/121-ап
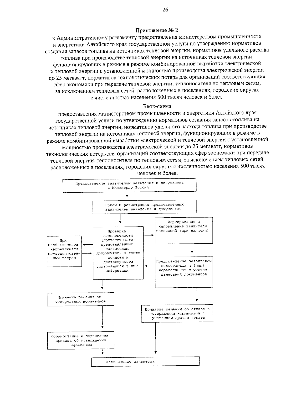
"О внесении изменений в приказ Министерства промышленности и энергетики Алтайского края от 22.10.2019 № 25/138-ап "Об утверждении Административного регламента предоставления Министерством промышленности и энергетики Алтайского края государственной услуги по утверждению нормативов создания запасов топлива, нормативов удельного расхода топлива на источниках тепловой энергии, нормативов технологических потерь по тепловым сетям"
(Зарегистрирован 07.12.2023 № 2020)
Номер опубликования: 2201202312070022
Дата опубликования: 07.12.2023
Страница №26 из 29:
Увеличить