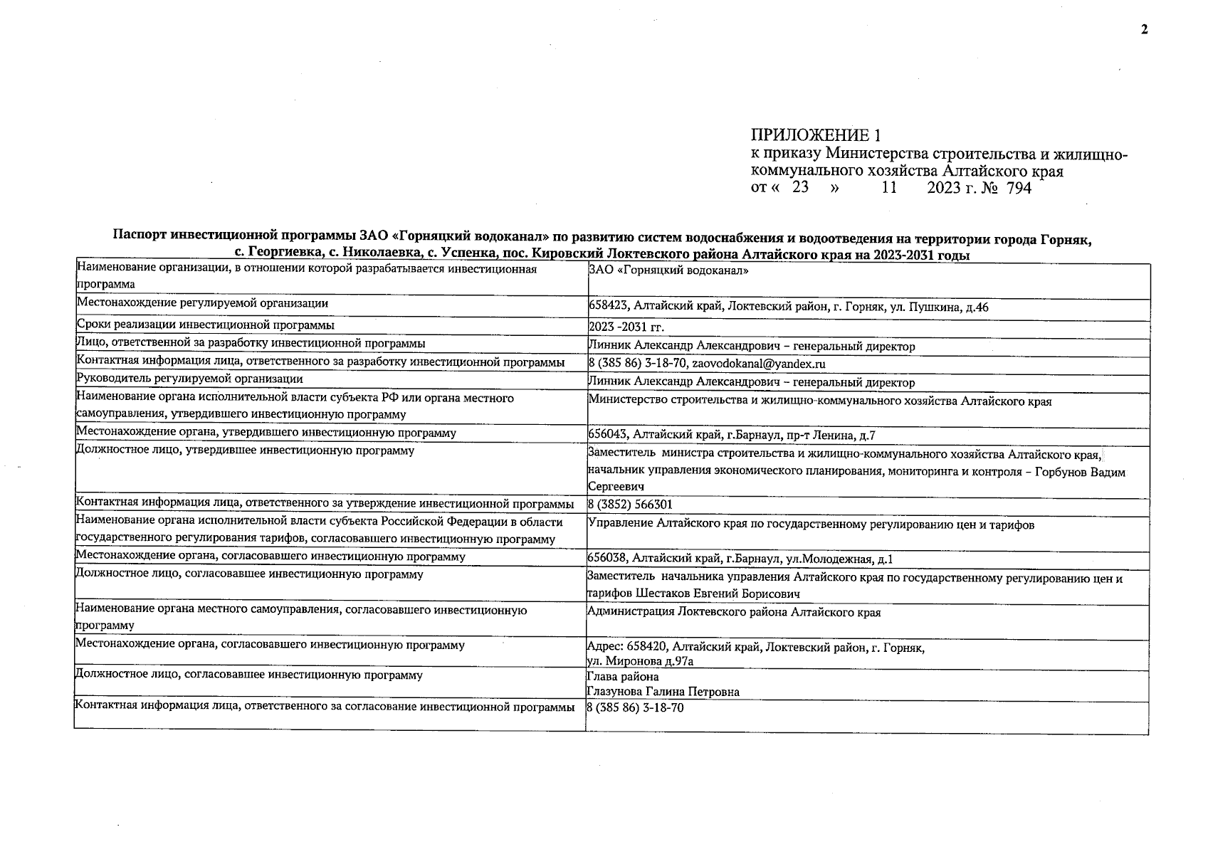
Приказ Министерства строительства и жилищно-коммунального хозяйства Алтайского края от 23.11.2023 № 794
"Об утверждении инвестиционной программы ЗАО "Горняцкий водоканал" по развитию систем водоснабжения и водоотведения на территории города Горняк, с. Георгиевка, с. Николаевка, с. Успенка, пос. Кировский Локтевского района Алтайского края на 2023-2031 годы"
"Об утверждении инвестиционной программы ЗАО "Горняцкий водоканал" по развитию систем водоснабжения и водоотведения на территории города Горняк, с. Георгиевка, с. Николаевка, с. Успенка, пос. Кировский Локтевского района Алтайского края на 2023-2031 годы"
Номер опубликования: 2201202311270023
Дата опубликования:
27.11.2023
