Официальное опубликование правовых актов
ОФИЦИАЛЬНОЕ ОПУБЛИКОВАНИЕ
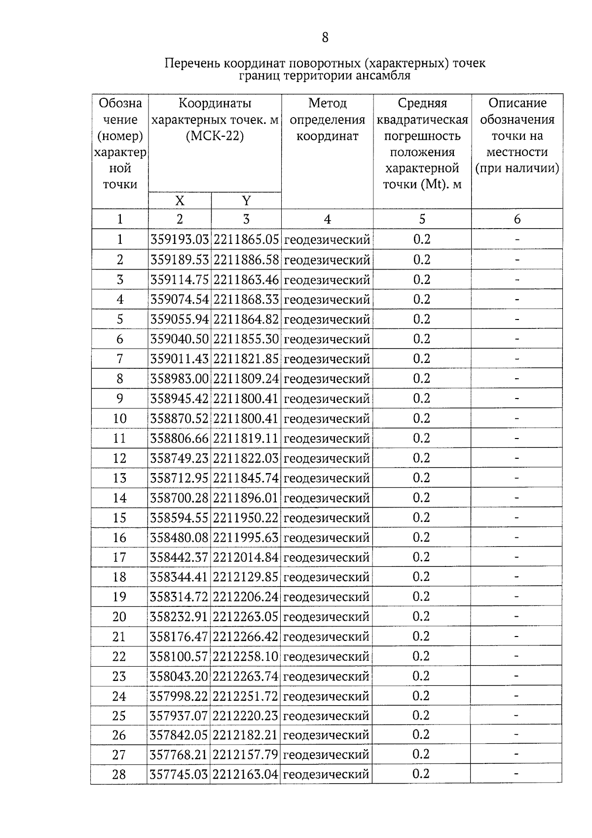
Приказ Управления государственной охраны объектов культурного наследия Алтайского края от 22.11.2023 № 977
"Об утверждении границ территории и режима использования территории объекта культурного наследия регионального значения "Канал Локтевского сереброплавильного завода (длина 8 км)", 1780–е гг., расположенного по адресу: Алтайский край, Локтевский район, в 6,5 км от с. Локоть вверх по р. Алей (напротив пос. Советский Путь)"
(Зарегистрирован 24.11.2023 № 1808)
Номер опубликования: 2201202311270007
Дата опубликования: 27.11.2023
Страница №8 из 14:
Увеличить