Официальное опубликование правовых актов
ОФИЦИАЛЬНОЕ ОПУБЛИКОВАНИЕ
Приказ Министерства труда и социальной защиты Алтайского края от 18.05.2018 № 157
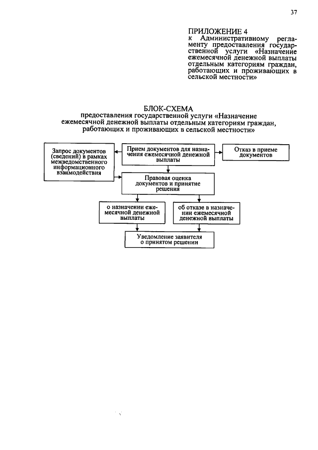
"Об утверждении Административного регламента предоставления государственной услуги "Назначение ежемесячной денежной выплаты отдельным категориям граждан, работающих и проживающих в сельской местности"
Номер опубликования: 2201201805210001
Дата опубликования: 21.05.2018
Страница №37 из 37:
Увеличить