Официальное опубликование правовых актов
ОФИЦИАЛЬНОЕ ОПУБЛИКОВАНИЕ
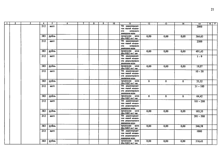
Приказ Управления связи и массовых коммуникаций Алтайского края от 29.03.2018 № 37
"О внесении изменений в приказ управления связи и массовых коммуникаций Алтайского края от 20.03.2017 № 26"
Номер опубликования: 2201201803290002
Дата опубликования: 29.03.2018
Страница №21 из 23:
Увеличить