Официальное опубликование правовых актов
ОФИЦИАЛЬНОЕ ОПУБЛИКОВАНИЕ
Приказ Министерства труда и социальной защиты Алтайского края от 28.12.2017 № 607
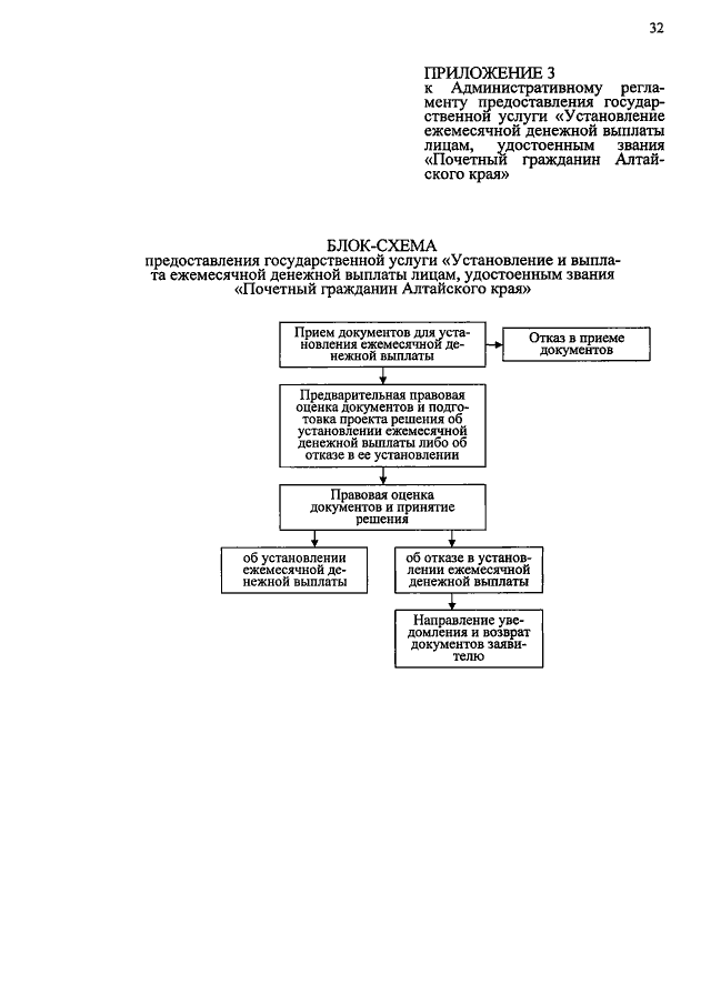
"Об утверждении Административного регламента предоставления государственной услуги "Установление ежемесячной денежной выплаты лицам, удостоенным звания "Почетный гражданин Алтайского края"
Номер опубликования: 2201201712290009
Дата опубликования: 29.12.2017
Страница №32 из 32:
Увеличить