Официальное опубликование правовых актов
ОФИЦИАЛЬНОЕ ОПУБЛИКОВАНИЕ
Приказ Министерства труда и социальной защиты Алтайского края от 27.12.2017 № 594
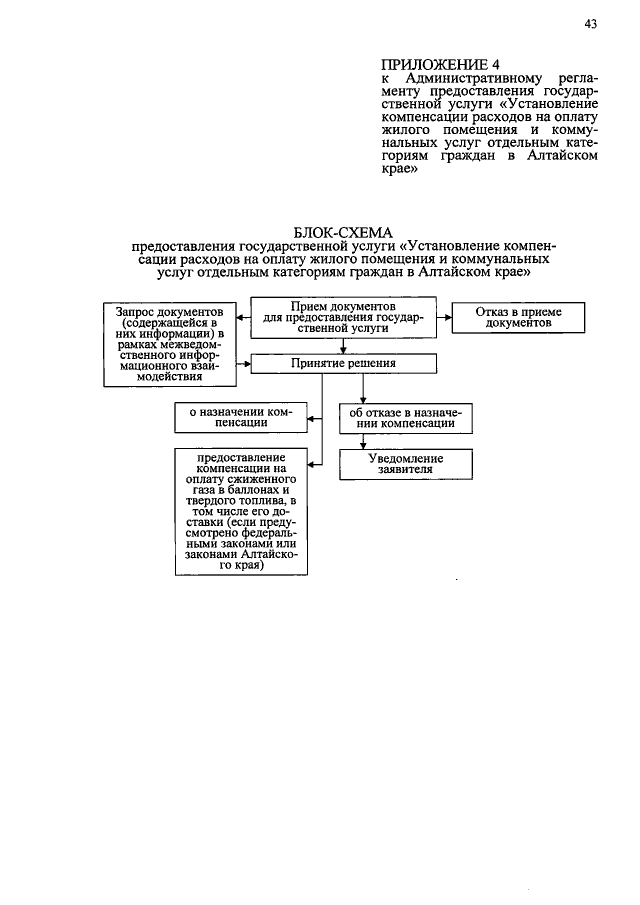
"Об утверждении Административного регламента предоставления государственной услуги "Установление компенсации расходов на оплату жилого помещения и коммунальных услуг отдельным категориям граждан в Алтайском крае"
Номер опубликования: 2201201712280005
Дата опубликования: 28.12.2017
Страница №43 из 43:
Увеличить