Официальное опубликование правовых актов
ОФИЦИАЛЬНОЕ ОПУБЛИКОВАНИЕ
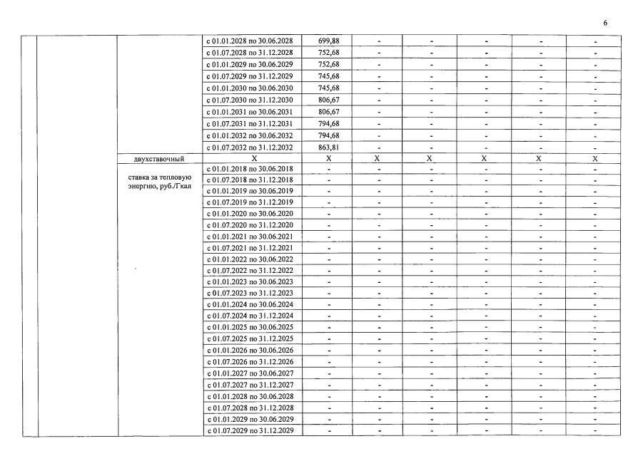
Решение Управления Алтайского края по государственному регулированию цен и тарифов от 19.12.2017 № 733
"Об установлении тарифов на услуги по передаче тепловой энергии по сетям Акционерного общества "Барнаульская теплосетевая компания" на территории муниципального образования город Барнаул Алтайского края, на 2018-2032 годы"
Номер опубликования: 2201201712210011
Дата опубликования: 21.12.2017
Страница №6 из 10:
Увеличить