Официальное опубликование правовых актов
ОФИЦИАЛЬНОЕ ОПУБЛИКОВАНИЕ
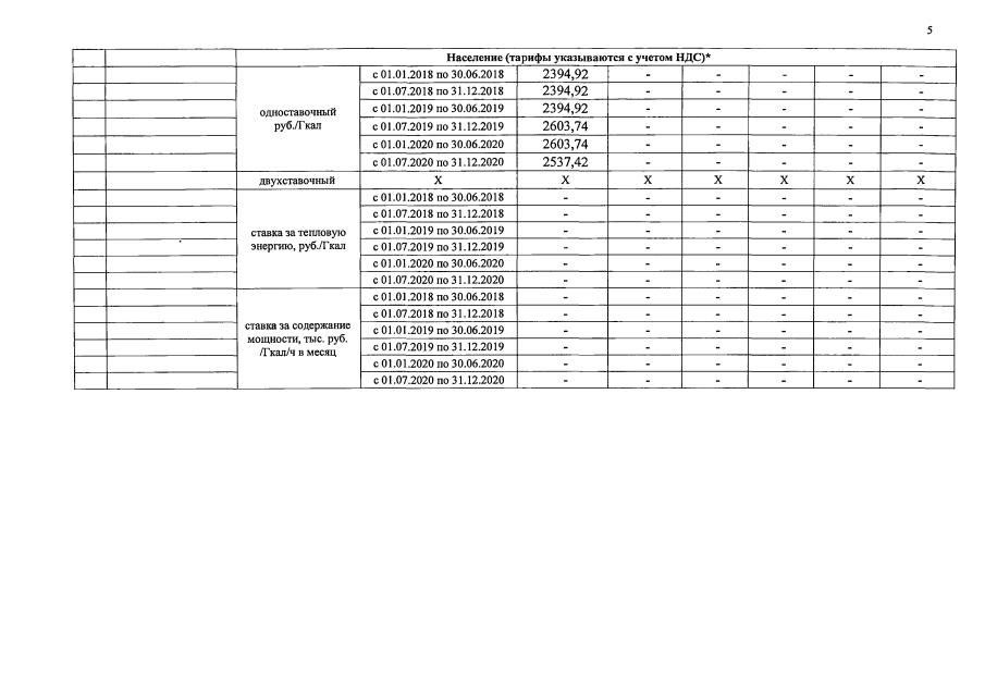
Решение Управления Алтайского края по государственному регулированию цен и тарифов от 15.12.2017 № 686
"Об установлении тарифов на тепловую энергию, поставляемую обществом с ограниченной ответственностью "Энерго Алтай" потребителям города Бийска Алтайского края, на 2018-2020 годы"
Номер опубликования: 2201201712180046
Дата опубликования: 18.12.2017
Страница №5 из 5:
Увеличить