Официальное опубликование правовых актов
ОФИЦИАЛЬНОЕ ОПУБЛИКОВАНИЕ
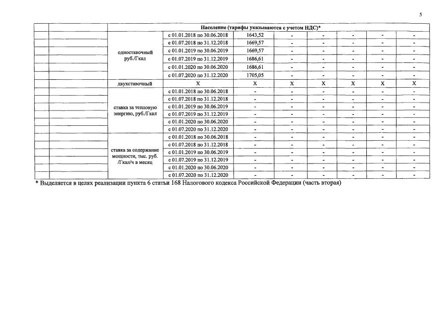
Решение Управления Алтайского края по государственному регулированию цен и тарифов от 14.12.2017 № 631
"Об установлении тарифов на тепловую энергию, поставляемую обществом с ограниченной ответственностью Производственно-строительная компания "Строительная перспектива" потребителям муниципального образования город Барнаул Алтайского края, на 2018-2020 годы"
Номер опубликования: 2201201712180022
Дата опубликования: 18.12.2017
Страница №5 из 5:
Увеличить