Официальное опубликование правовых актов
ОФИЦИАЛЬНОЕ ОПУБЛИКОВАНИЕ
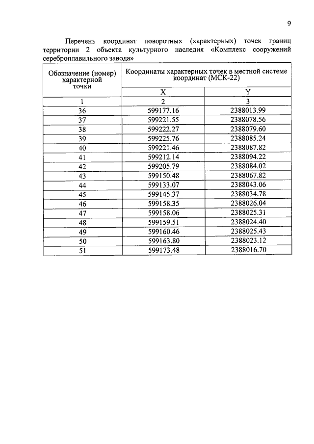
Приказ Управления государственной охраны объектов культурного наследия Алтайского края от 13.11.2017 № 125
"Об утверждении границ территории и режима использования территории объекта культурного наследия"
Номер опубликования: 2201201711160012
Дата опубликования: 16.11.2017
Страница №9 из 11:
Увеличить