Официальное опубликование правовых актов
ОФИЦИАЛЬНОЕ ОПУБЛИКОВАНИЕ
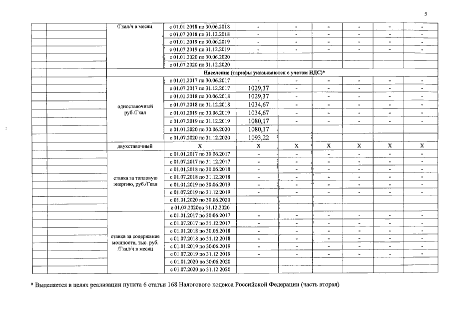
Решение Управления Алтайского края по государственному регулированию цен и тарифов от 12.07.2017 № 93
"Об установлении тарифов на тепловую энергию, поставляемую обществом с ограниченной ответственностью "Алтай-Форест" потребителям Тальменского района Алтайского края, на 2017-2020 годы"
Номер опубликования: 2201201707120011
Дата опубликования: 12.07.2017
Страница №5 из 5:
Увеличить