Официальное опубликование правовых актов
ОФИЦИАЛЬНОЕ ОПУБЛИКОВАНИЕ
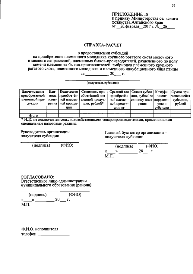
Приказ Министерства сельского хозяйства Алтайского края от 20.02.2017 № 26
"Об утверждении форм документов, представляемых сельскохозяйственными товаропроизводителями в Министерство сельского хозяйства Алтайского края"
Номер опубликования: 2201201702210003
Дата опубликования: 21.02.2017
Страница №37 из 46:
Увеличить