Официальное опубликование правовых актов
ОФИЦИАЛЬНОЕ ОПУБЛИКОВАНИЕ
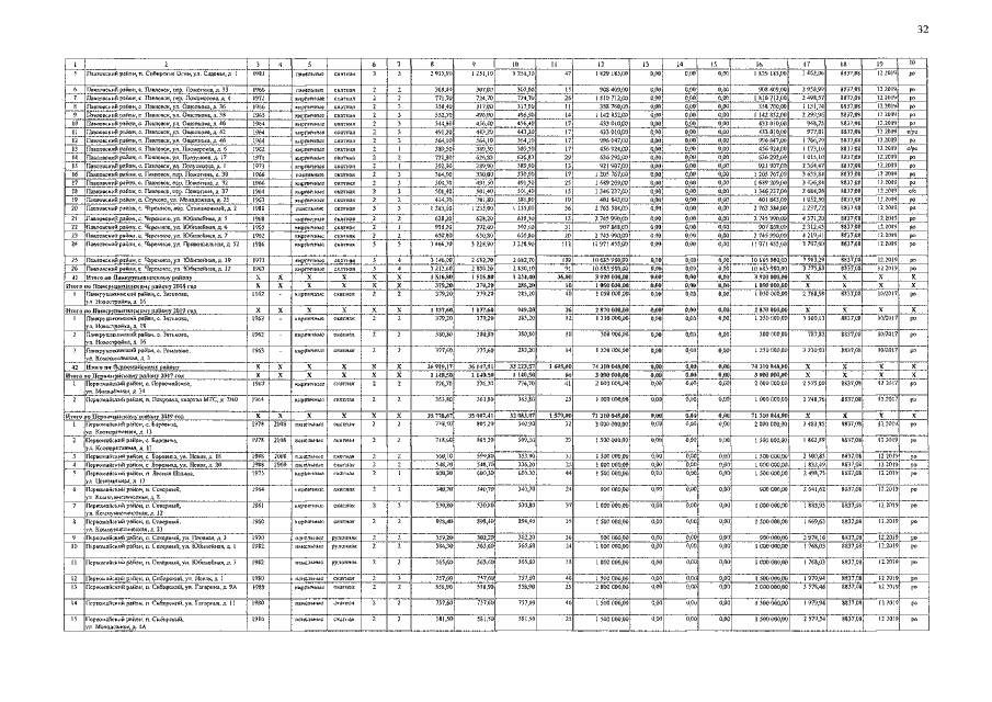
Приказ Главного управления строительства, транспорта, жилищно-коммунального и дорожного хозяйства Алтайского края от 19.10.2016 № 517
"Об утверждении краткосрочного плана реализации в 2017-2019 годах краевой программы "Капитальный ремонт общего имущества в многоквартирных домах, расположенных на территории Алтайского края" на 2014-2043 годы."
Номер опубликования: 2201201610210003
Дата опубликования: 21.10.2016
Страница №32 из 71:
Увеличить