Официальное опубликование правовых актов
ОФИЦИАЛЬНОЕ ОПУБЛИКОВАНИЕ
Приказ Главного управления природных ресурсов и экологии Алтайского края от 28.01.2016 № 108
"О внесении изменений в приказ управления лесами Алтайского края от 30.12.2008 № 169 "Об утверждении лесохозяйственного регламента Озеро-Кузнецовского лесничества Алтайского края"
Номер опубликования: 2201201601290001
Дата опубликования: 29.01.2016
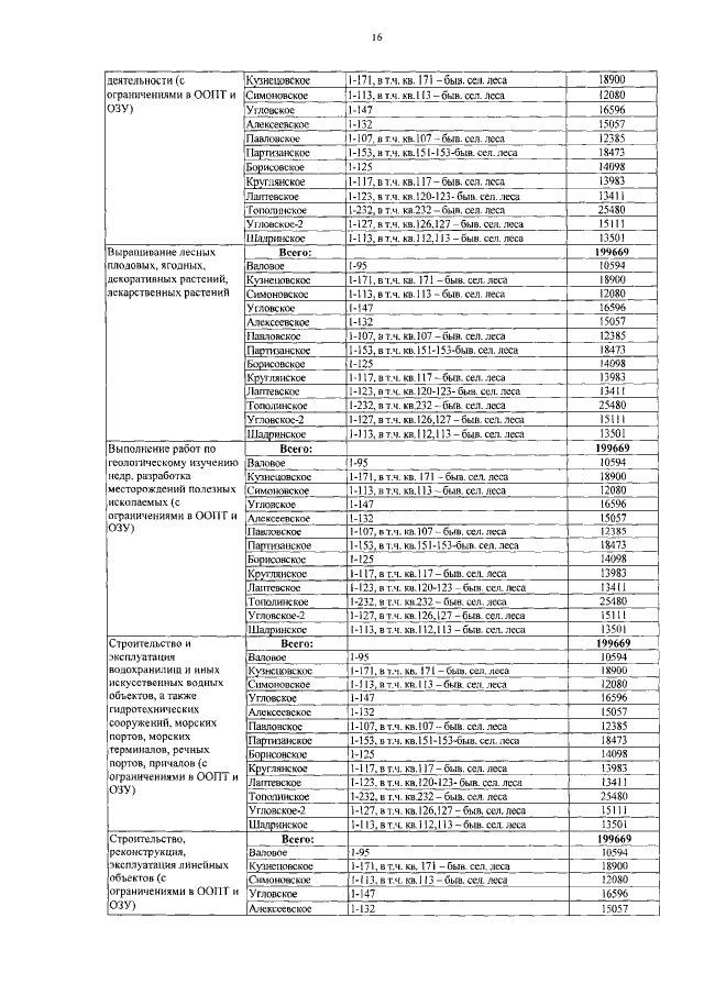
Страница №16 из 40:
Увеличить