Официальное опубликование правовых актов
ОФИЦИАЛЬНОЕ ОПУБЛИКОВАНИЕ
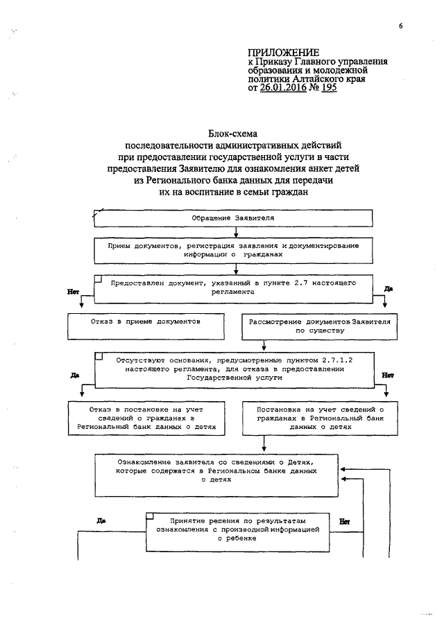
Приказ Главного управления образования и молодежной политики Алтайского края от 26.01.2016
№ 195
"О внесении изменений в приказ Главного управления образования и молодежной политики Алтайского края от 06.07.2015 № 1235"
Номер опубликования: 2201201601280008
Дата опубликования: 28.01.2016
Страница №6 из 7:
Увеличить