Официальное опубликование правовых актов
ОФИЦИАЛЬНОЕ ОПУБЛИКОВАНИЕ
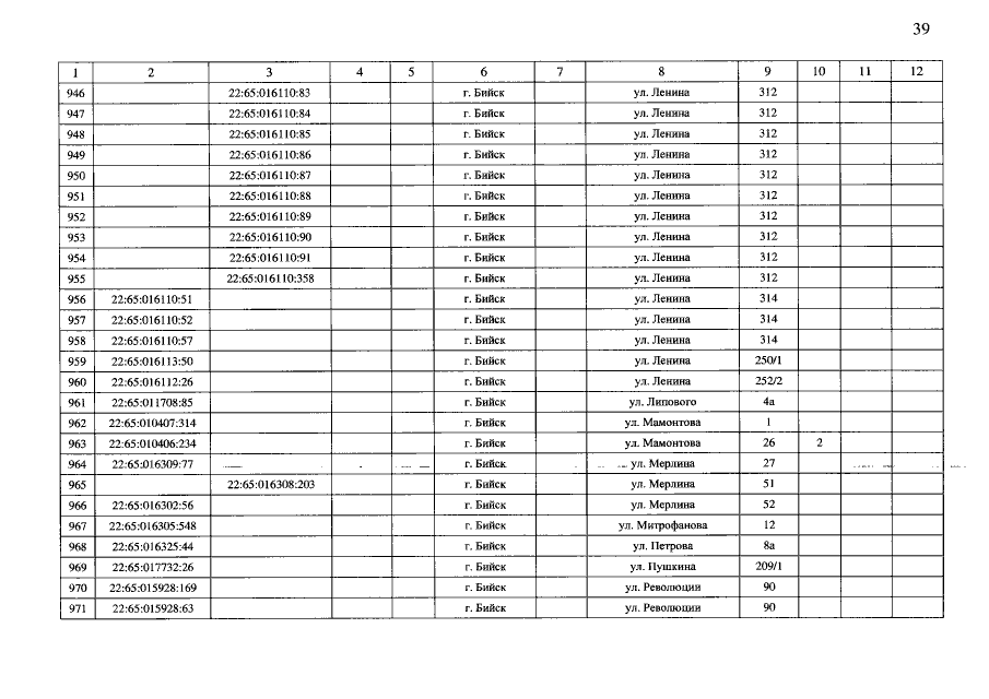
Приказ управления Алтайского края по развитию предпринимательства и рыночной инфраструктуры от 24.11.2015 № 134
"Об утверждении перечня объектов недвижимого имущества, в отношении которых налоговая база определяется как кадастровая стоимость, на 2016 год"
Номер опубликования: 2201201512010001
Дата опубликования: 01.12.2015
Страница №39 из 45:
Увеличить