Официальное опубликование правовых актов
ОФИЦИАЛЬНОЕ ОПУБЛИКОВАНИЕ
Постановление Правительства Алтайского края от 29.12.2025 № 521
"Об утверждении Территориальной программы государственных гарантий бесплатного оказания гражданам медицинской помощи на 2026 год и на плановый период 2027 и 2028 годов"
(Зарегистрирован 30.12.2025 № 2388)
Номер опубликования: 2200202512300002
Дата опубликования: 30.12.2025
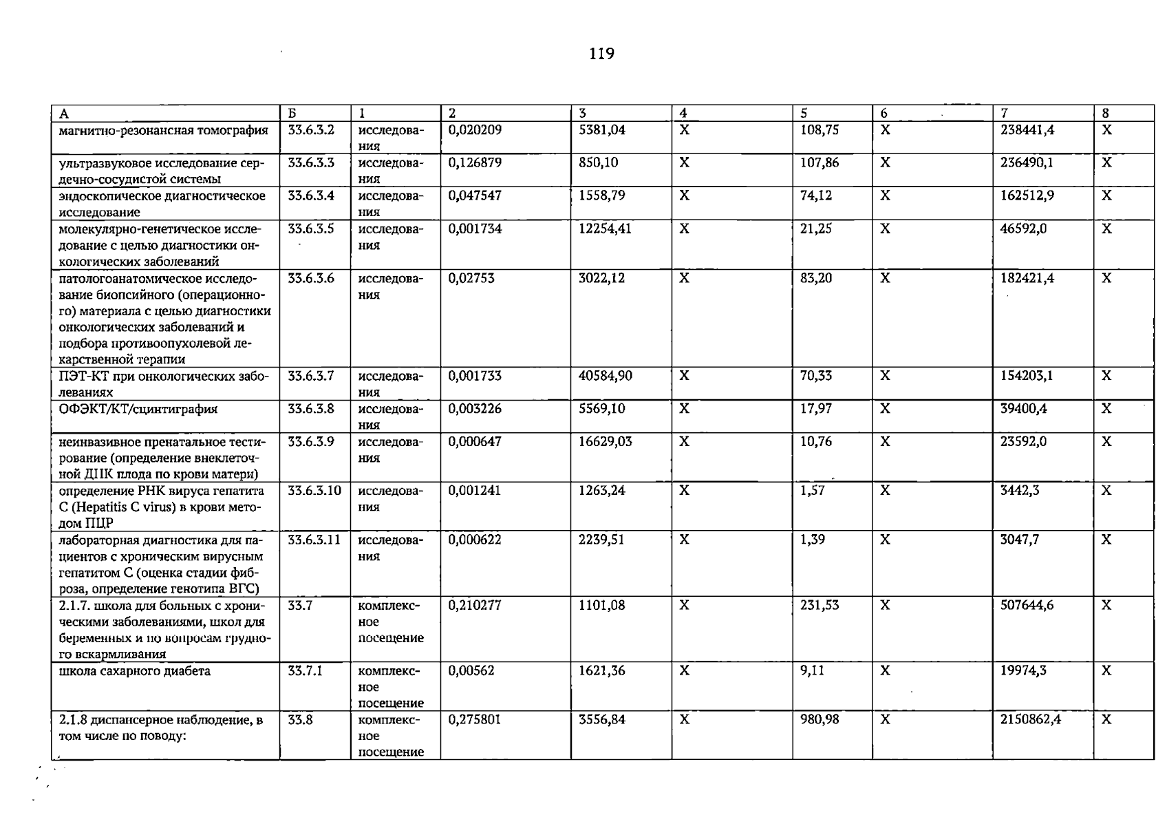
Страница №119 из 470:
Увеличить