Официальное опубликование правовых актов
ОФИЦИАЛЬНОЕ ОПУБЛИКОВАНИЕ
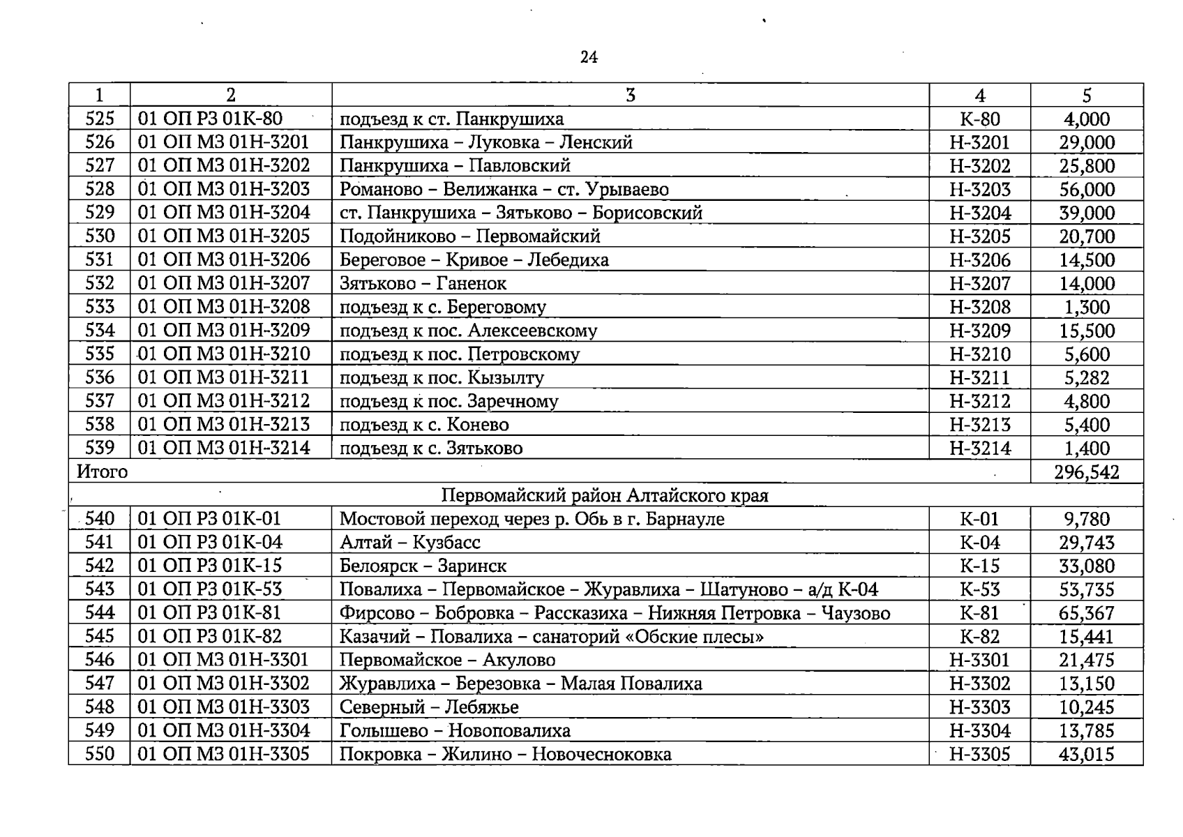
Постановление Правительства Алтайского края от 11.07.2025 № 283
"О внесении изменений в постановление Администрации Алтайского края от 27.04.2009 № 188"
(Зарегистрирован 14.07.2025 № 1031)
Номер опубликования: 2200202507150001
Дата опубликования: 15.07.2025
Страница №24 из 46:
Увеличить