Официальное опубликование правовых актов
ОФИЦИАЛЬНОЕ ОПУБЛИКОВАНИЕ
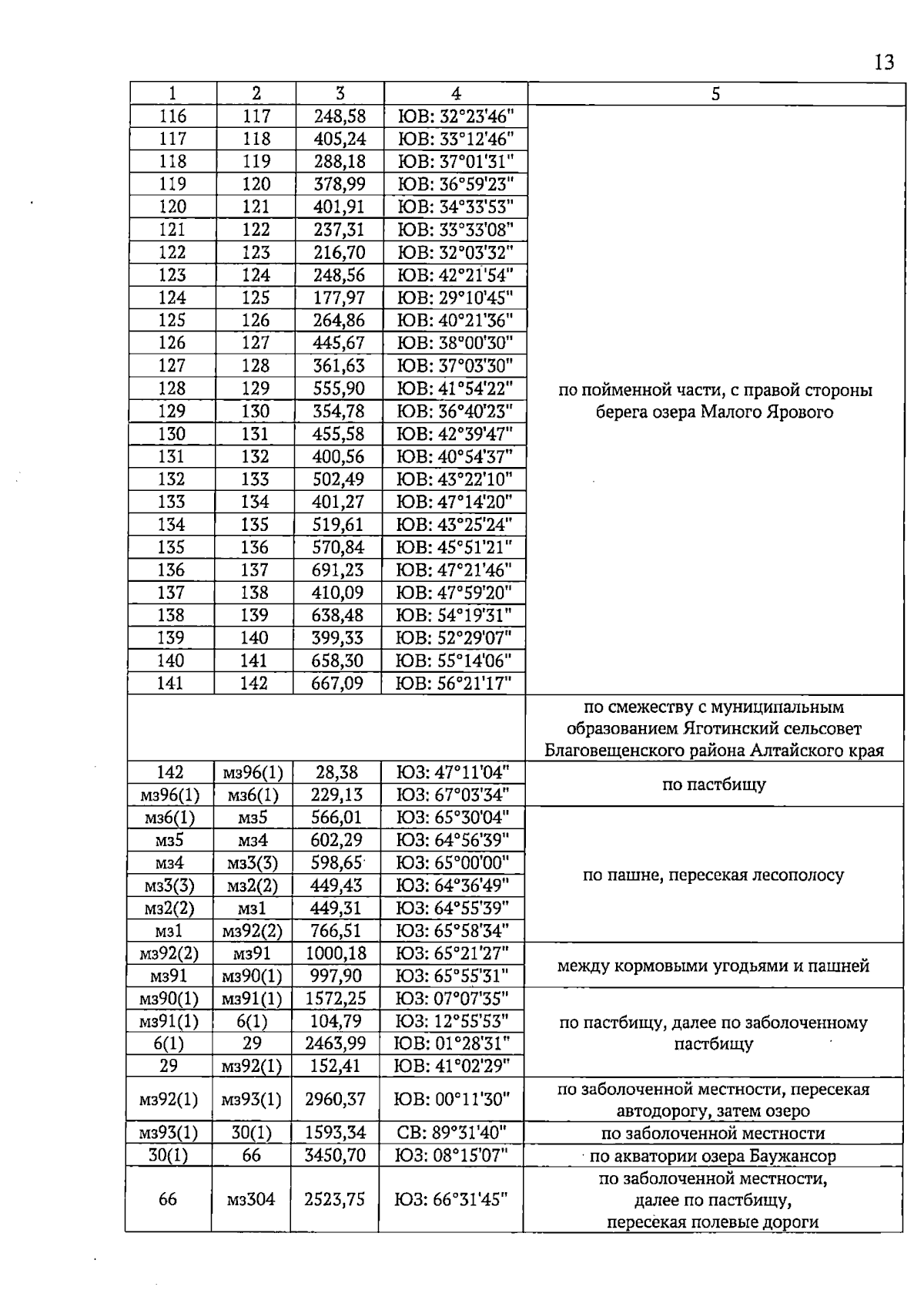
Закон Алтайского края от 06.06.2025 № 45-ЗС
"О внесении изменений в закон Алтайского края "О статусе и границах муниципальных и административно-территориальных образований Табунского района Алтайского края"
Номер опубликования: 2200202506090007
Дата опубликования: 09.06.2025
Страница №13 из 18:
Увеличить