Официальное опубликование правовых актов
ОФИЦИАЛЬНОЕ ОПУБЛИКОВАНИЕ
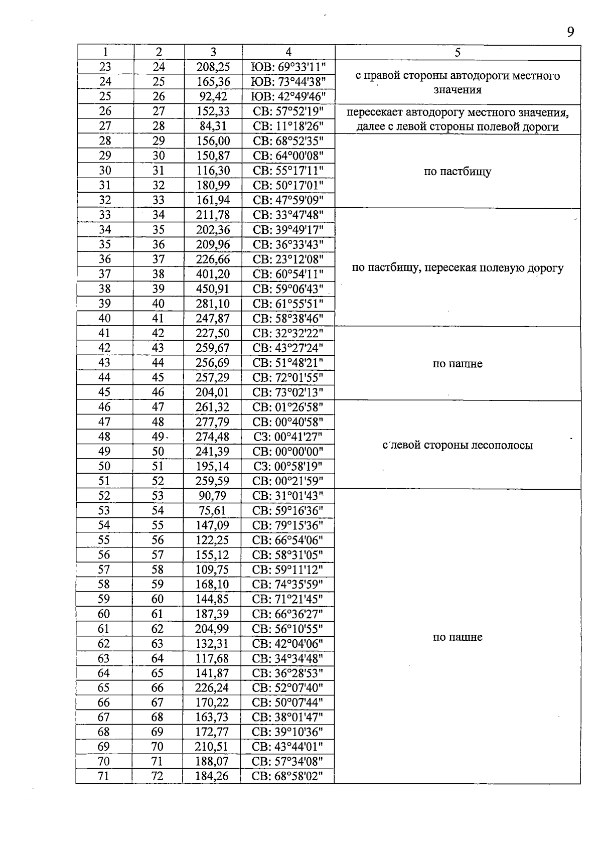
Закон Алтайского края от 07.05.2025 № 31-ЗС
"О внесении изменений в закон Алтайского края "О статусе и границах муниципальных и административно-территориальных образований Немецкого национального района Алтайского края"
Номер опубликования: 2200202505070007
Дата опубликования: 07.05.2025
Страница №9 из 17:
Увеличить