Официальное опубликование правовых актов
ОФИЦИАЛЬНОЕ ОПУБЛИКОВАНИЕ
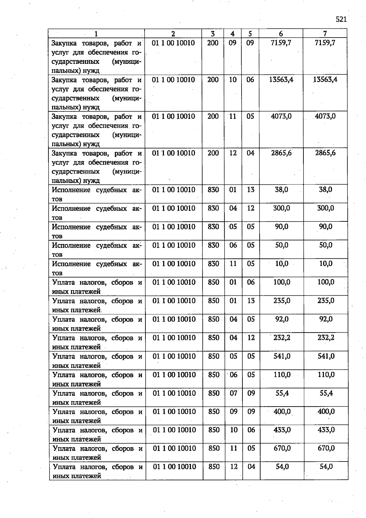
Закон Алтайского края от 31.03.2025 № 11-ЗС
"О внесении изменений в закон Алтайского края "О краевом бюджете на 2025 год и на плановый период 2026 и 2027 годов"
Номер опубликования: 2200202504010001
Дата опубликования: 01.04.2025
Страница №521 из 674:
Увеличить