Официальное опубликование правовых актов
ОФИЦИАЛЬНОЕ ОПУБЛИКОВАНИЕ
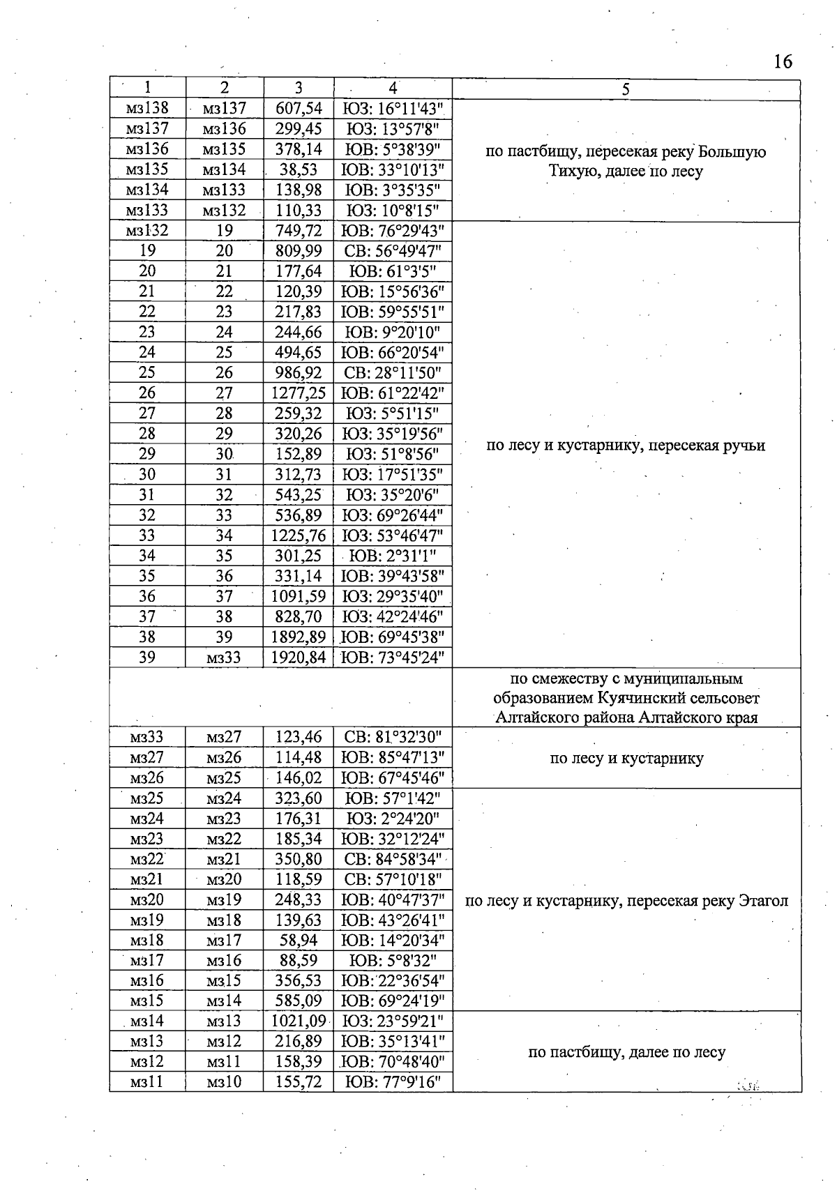
Закон Алтайского края от 06.03.2025 № 9-ЗС
"О внесении изменений в закон Алтайского края "О статусе и границах муниципальных и административно-территориальных образований Солонешенского района Алтайского края"
Номер опубликования: 2200202503070003
Дата опубликования: 07.03.2025
Страница №16 из 24:
Увеличить