Официальное опубликование правовых актов
ОФИЦИАЛЬНОЕ ОПУБЛИКОВАНИЕ
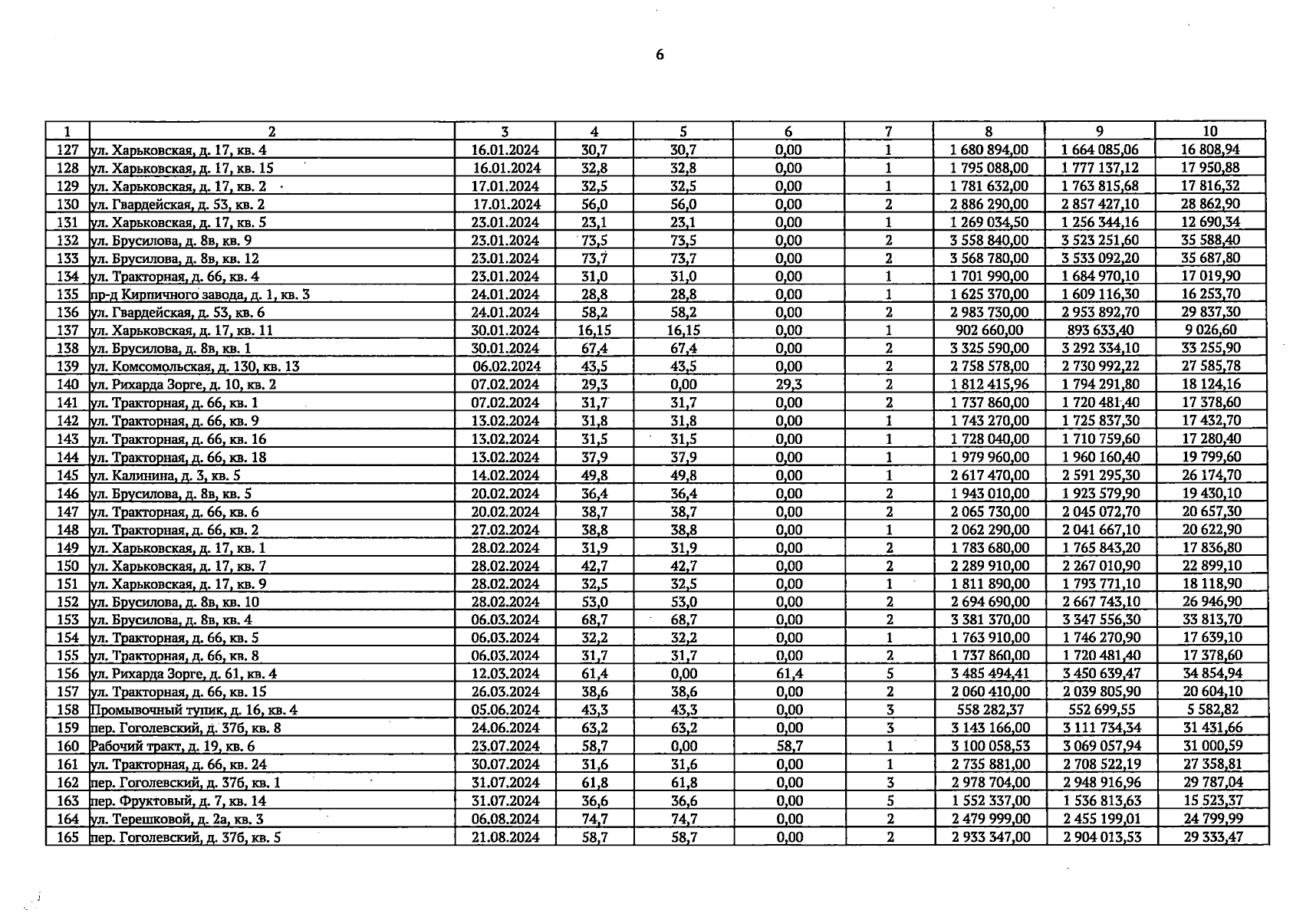
Постановление Правительства Алтайского края от 18.12.2024 № 496
"О внесении изменений в постановление Правительства Алтайского края от 28.12.2023 № 516"
Номер опубликования: 2200202412190006
Дата опубликования: 19.12.2024
Страница №6 из 10:
Увеличить