Официальное опубликование правовых актов
ОФИЦИАЛЬНОЕ ОПУБЛИКОВАНИЕ
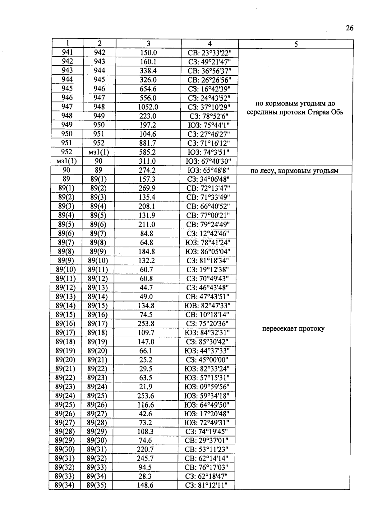
Закон Алтайского края от 04.10.2024 № 65-ЗС
"О внесении изменения в приложение 1 к закону Алтайского края "О статусе и границах муниципального и административно-территориального образования город Новоалтайск Алтайского края"
Номер опубликования: 2200202410070002
Дата опубликования: 07.10.2024
Страница №26 из 42:
Увеличить