Официальное опубликование правовых актов
ОФИЦИАЛЬНОЕ ОПУБЛИКОВАНИЕ
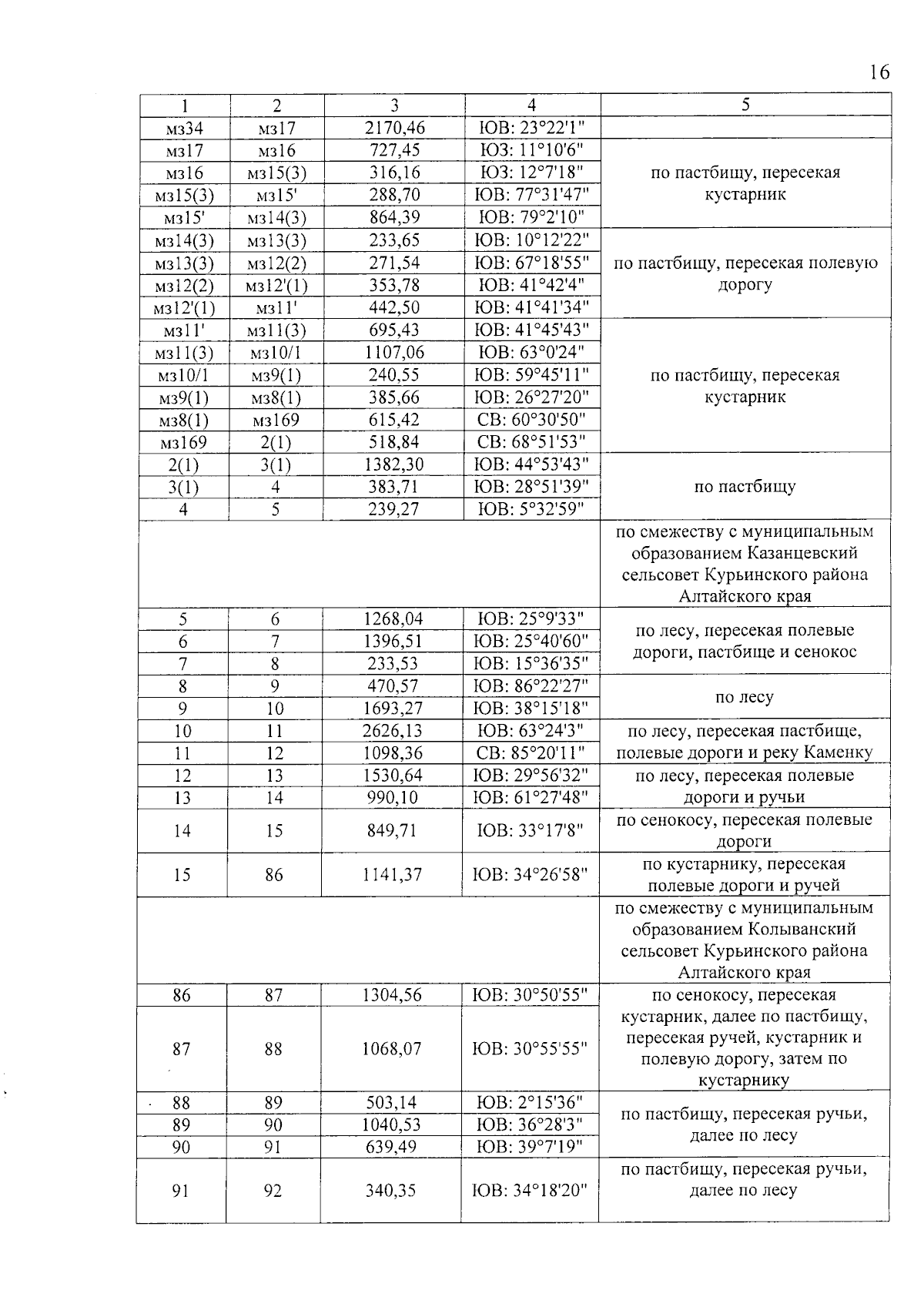
Закон Алтайского края от 03.09.2024 № 45-ЗС
"О внесении изменений в закон Алтайского края "О статусе и границах муниципальных и административно-территориальных образований Змеиногорского района Алтайского края"
Номер опубликования: 2200202409040004
Дата опубликования: 04.09.2024
Страница №16 из 28:
Увеличить