Официальное опубликование правовых актов
ОФИЦИАЛЬНОЕ ОПУБЛИКОВАНИЕ
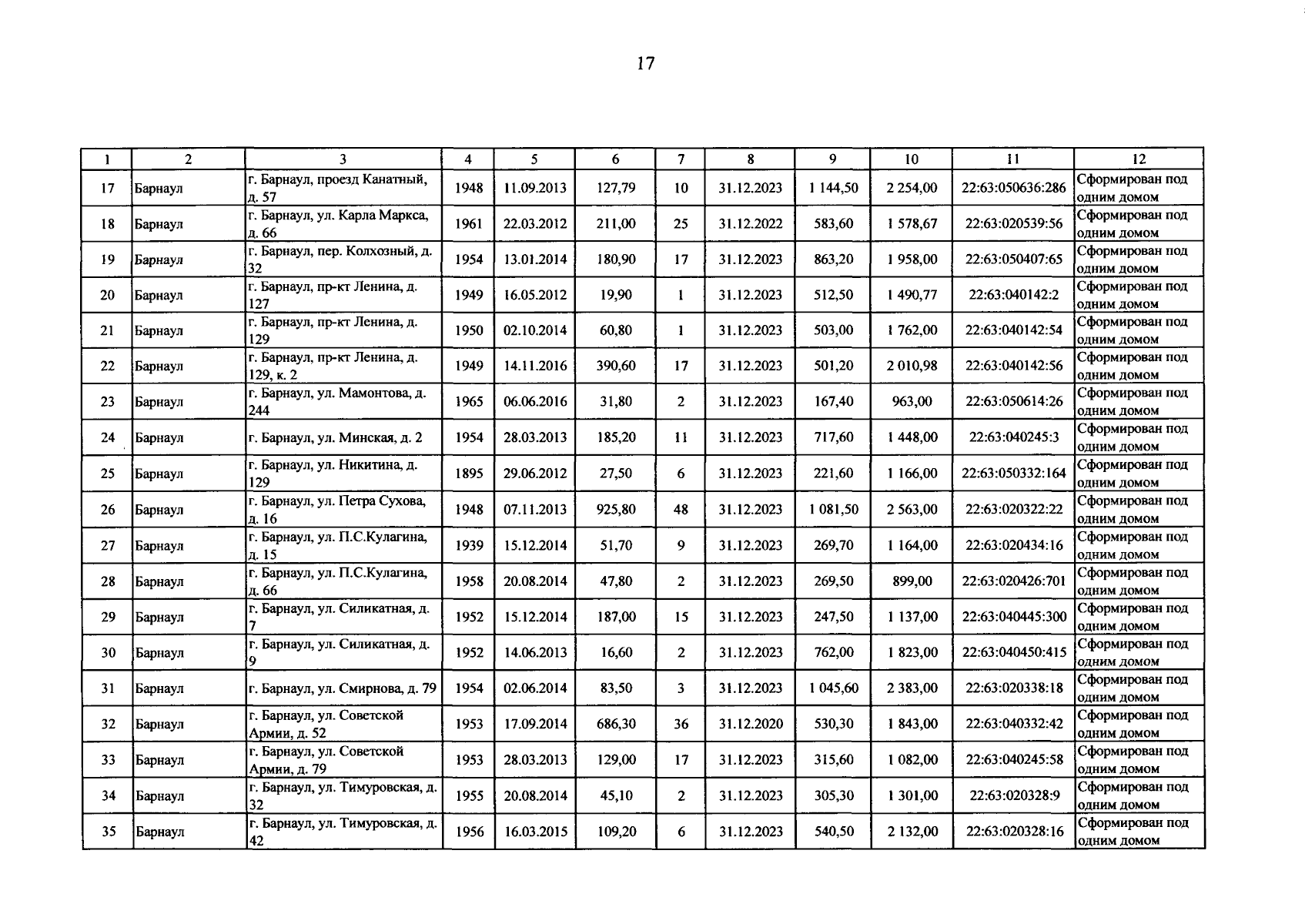
Постановление Правительства Алтайского края от 29.01.2024 № 22
"О внесении изменений в постановление Правительства Алтайского края от 01.04.2019 № 106"
Номер опубликования: 2200202401300002
Дата опубликования: 30.01.2024
Страница №17 из 26:
Увеличить