Официальное опубликование правовых актов
ОФИЦИАЛЬНОЕ ОПУБЛИКОВАНИЕ
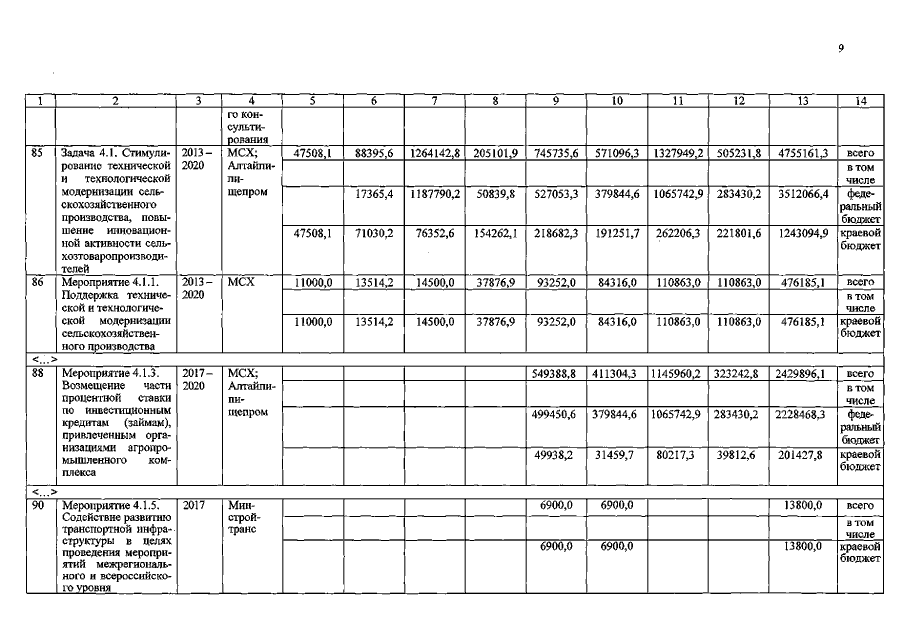
Постановление Правительства Алтайского края от 25.06.2018 № 227
"О внесении изменений в постановления Администрации Алтайского края от 05.10.2012 № 523 и Правительства Алтайского края от 09.02.2017 № 33"
Номер опубликования: 2200201806250005
Дата опубликования: 25.06.2018
Страница №9 из 13:
Увеличить