Официальное опубликование правовых актов
ОФИЦИАЛЬНОЕ ОПУБЛИКОВАНИЕ
Постановление Правительства Алтайского края от 13.06.2018 № 207
"О внесении изменений в постановление Администрации края от 26.03.2013 № 178"
Номер опубликования: 2200201806140001
Дата опубликования: 14.06.2018
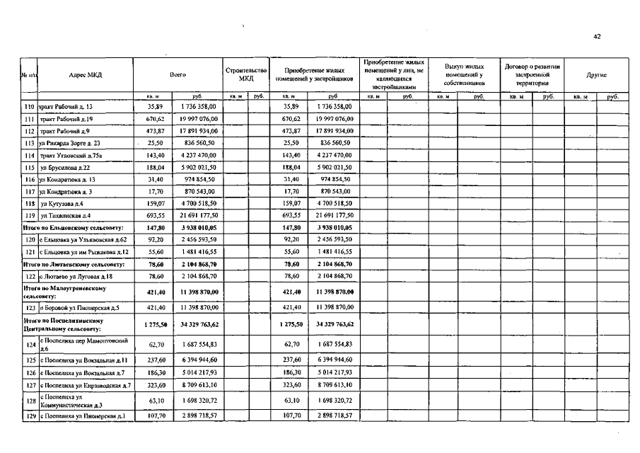
Страница №42 из 66:
Увеличить