Официальное опубликование правовых актов
ОФИЦИАЛЬНОЕ ОПУБЛИКОВАНИЕ
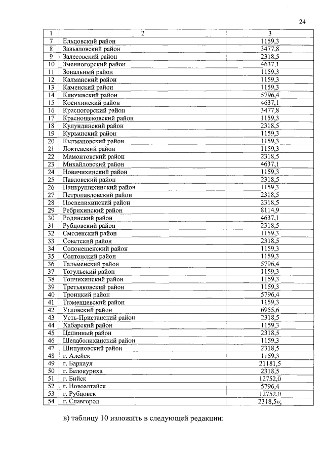
Закон Алтайского края от 30.11.2017 № 91-ЗС
"О внесении изменений в закон Алтайского края "О краевом бюджете на 2017 год и на плановый период 2018 и 2019 годов"
Номер опубликования: 2200201712010001
Дата опубликования: 01.12.2017
Страница №24 из 33:
Увеличить